英文原题:Revealing Density Thresholds of Carbon Nanotube Cross-Links for Load Transfer: A Graph Theory Strategy
通讯作者:张骁骅,东华大学;赵军华,江南大学;郭万林,南京航空航天大学
作者:Jiachao Ji (纪加超), Jiaojiao Wang (王娇娇), Chunhua Zhu (朱春华),Xiaohua Zhang (张骁骅), Qingwen Li (李清文), Junhua Zhao (赵军华), Wanlin Guo (郭万林)
背景介绍
随着纳米材料的快速发展,基于纳米单元自下而上组装构建而成的宏观体材料展现出不同于传统材料的诸多特异性能,其中基于碳纳米管网络结构的各类宏观体,如纤维、薄膜、海绵、气凝胶等,展现出了丰富的力、电、热功能特性,已成为发展结构功能一体化的重要基础材料。在这类材料中,碳管之间是以共价或非共价作用相互连接,形成典型的交联网络结构(cross-linked networks)。然而由于交联网络结构的复杂性,其力学行为无法利用传统材料的连续介质理论进行描述,因此认知影响其力学性能的关键结构因素仍然面临着挑战。近年来诸多研究表明,随着交联密度的改变,碳管宏观材料表现出截然不同的力学性质,如刚性与柔性、脆性与韧性、弹性与塑性等,更使得开展交联网络力学行为的相关理论研究迫在眉睫。
文章亮点
近日,江南大学赵军华教授团队和东华大学张骁骅研究员、南京航天航空大学郭万林院士团队合作在ACS Nano上发表了基于图论思想发展碳管网络力学的传载连通性理论的研究成果。论文利用课题组前期建立的粗粒化分子动力学方法(J. Mech. Phys. Solids 2019, 128, 79-104)模拟了不同交联密度下碳管网络的力学行为,揭示出随着交联密度的增加,碳管网络展现出四种不同承载方式主导的力学行为,从而构建了由交联密度决定的力学“相图”。

图1. 不同交联密度和拉伸应变下碳管网络主导变形模式的“相图”和韧脆转变的模拟图。

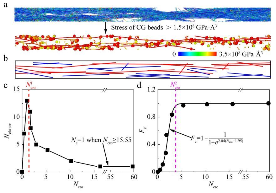
图2. 粗粒化分子动力学模拟中(a)交联碳管网络(Ncro =1.66)在应变为3.34时的应力云图和局部放大图。(b)连续载荷传递路径示意图。负载和非负载团簇分别以红色和蓝色表示。碳管网络中交联密度与(c)团簇数量和(d)团簇因子关系曲线。

针对此,作者提出了决定四个相区边界的三个交联密度阈值:渗流阈值(N1cro)、连通阈值(N2cro)和饱和阈值(N3cro),并引入图论的连通性理论,揭示不同阈值的微观物理机制:当Ncro<N1cro时,碳管网络的变形由碳管间的滑移和结构重组主导,碳管网络承载能力较低。当N1cro≤Ncro时,碳管网络形成交联连接的连续载荷传递路径。伴随着共价键断裂,碳管网络出现由碳管拉伸主导的变形过程。当N2cro≤Ncro时,网络中所有碳管通过交联连接形成一个“连通”团簇。碳管网络中形成细小且密集的四边形结构,出现以碳管弯曲为主导的变形过程。当N3cro≤Ncro时,碳管网络中的交联分布接近饱和,碳管网络以接近“仿射变形”的方式承载,并最终导致脆性断裂。与交联密度相关的韧脆转变模拟结果进一步得到了实验结果的证实。
表1. 粗粒化分子动力学模拟得到不同交联密度下碳管网络结构特征、载荷传递路径和断裂方式。

总结/展望
基于粗粒化分子动力学模拟及实验验证,研究团队揭示了碳管网络随其交联密度变化而形成的不同力学行为,构建了交联网络力学相图,发现了交联密度存在渗流、连通及饱和等阈值,并借鉴图论连通性理论阐明了不同阈值下应力传载的特性及传载通路的构建规律。该研究不仅揭示出影响碳管网络力学的关键结构因素,也为组装结构材料的力学行为研究提供了一种崭新的研究思路,有望推动结构功能一体化材料的进一步发展。
相关论文发表在ACS Nano上,江南大学博士研究生纪加超为文章的第一作者, 张骁骅研究员、赵军华教授和郭万林院士为共同通讯作者。
通讯作者信息:
张骁骅 研究员
张骁骅,东华大学纺织科技创新中心研究员,近年来致力于低维纳米材料结构分析、多尺度纳米组装、轻量化高强纳米碳纤维及复合材料等研究领域,在Nat. Mater., Adv. Mater., Adv. Funct. Mater., Small, Phys. Rev. Lett., Appl. Phys. Lett., ACS Nano, ACS Appl. Mater. Interfaces, Nanoscale, Carbon等期刊发表论文90余篇,撰写专著6章,合著专著 1 部,授权发明15项。主持国家自然科学基金中以国际合作(重点)项目、国家自然科学青年基金、中科院青年创新促进会基金、江西省杰出青年基金、江苏省国际合作等多个科技项目。
赵军华 教授
版权声明:本文内容由互联网用户自发贡献,该文观点仅代表作者本人。本站仅提供信息存储空间服务,不拥有所有权,不承担相关法律责任。如发现本站有涉嫌侵权/违法违规的内容,请联系我们,一经查实,本站将立刻删除。
如需转载请保留出处:https://51itzy.com/kjqy/48789.html