数据结构树论之二叉树
本篇文章,详细学习一下二叉树相关知识。
首先,简单的理解一下树的一下基本概念:
结点:树里面的元素。
父子关系:结点之间相连的边
子树:当结点大于1时,其余的结点分为的互不相交的集合称为子树
度:一个结点拥有的子树数量称为结点的度
叶子:度为0的结点
孩子:结点的子树的根称为孩子结点
双亲:和孩子结点对应
兄弟:同一个双亲结点
森林:由N个互不相交的树构成深林
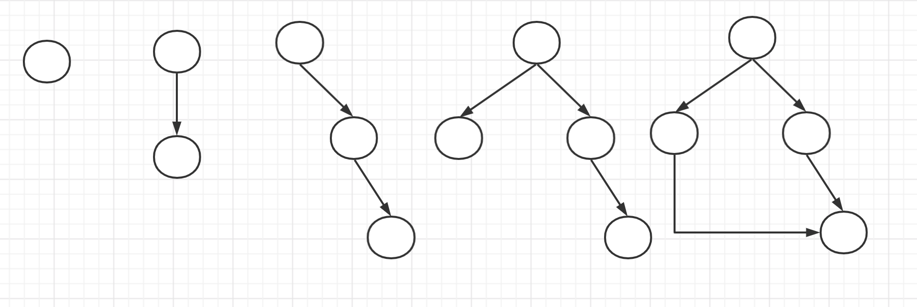
画个图示意一下:
除了最后一个不是树(是图),其他的都是树,可以看到,树其实是包含链表结构的。
另外在树结构里面,还有几个重要的术语
在树形结构里面有几个重要的术语:
结点的高度:结点到叶子结点的最长路径
结点的深度:根结点到该结点的边个数
结点的层数:结点的深度加1
树的高度:根结点的高度
如下图所示


在了解了树的一些基本概念之后,我们来先来关注最基本的树-二叉树,很多经典的算法与数据结构其实都是通过二叉树发展而来。
二叉树
如果二叉树的除了叶子节点那一层(最后一层),每一层都长满了,也就是每一层的的节点数为最大的2^(N-1),那么这就是一个满二叉树。如果除最后一层外,其他的结点个数必须达到最大,并且最后一层结点都连续靠左排列,这就是一个完全二叉树。


二叉树如何存储起来呢?(说到底层存储,要么是数组,要么是链表)
显然,可以用链表来做存储。在基础的部分,我们也说过,因为数组的性能更高,因此能用数组的话就尽可能用数组来存储,那么二叉树可以使用数组来存储吗?
在在一颗满二叉树中,根据满二叉树满足的条件,可以推算出数组下标与树节点之间的关系。如果根节点从1开始,那么左孩子节点的数组下标为父节点下标的2倍,右孩子节点为父节点下标的2倍+1.

通过这种映射关系,我们很容易对一个满二叉树存储到数组中。同理,完全二叉树存储到数组中也是一样的道理。
那么对于普通的二叉树,能不能用数组存呢?
答案当然是可以啦,不存在的节点对应数组中的元素用特定的值来标记一下就可以了。不过这种方式会带来空间的大量浪费,你可以画图理解一下。
学习二叉树,那么最基本算法就是先学会如何遍历二叉树。
四种遍历方式(重要口诀:根节点输出!):
前序:根 左 右
中序:左 根 右
后序:左 右 根
层次遍历。
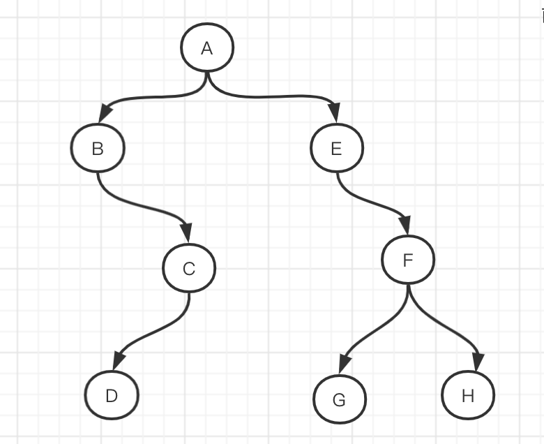
如果二叉树为:

4种遍历分别用代码实现一下:
/ * 二叉树 * 子节点最多只有两个的树。 * * 满二叉树:除了叶子节点,所有的节点都有2个子节点 * 完全二叉树:除最后一层,其他节点是满二叉树,最后一层节点从左到右依次排列,不能有间隔,右边允许空。 * * 二叉树的4种遍历方式 * 口诀:根节点输出 * 1. 前序 根 左 右 * 2. 中序 左 根 右 * 3. 后序 左 右 根 * 4. 层遍历 * */ public class BinaryTree {
/ * 前序遍历 根->左->右 * 从根开始,先看左边 递归左边,再根,在递归右边。 * 遍历流程,画图理解。 * @param root */ public static void pre(TreeNode root){
print(root); if(root.left != null){
pre(root.left); } if(root.right != null){
pre(root.right); } } / * 中序遍历 左->根->右 * 遍历流程,画图理解。 * @param root */ public static void in(TreeNode root){
if(root.left != null){
in(root.left); } print(root); if(root.right != null){
in(root.right); } } / * 前序遍历 左->右->根 * 遍历流程,画图理解。 * @param root */ public static void post(TreeNode root){
if(root.left != null){
post(root.left); } if(root.right != null){
post(root.right); } print(root); } / * 按层次遍历 * 思路 * 将二叉树按照层级,一层一层映射到数组上,首先将二叉树用空节点补充为满二叉树, * 如果将满二叉树一层一层的放到数组上,会发现这样一个规律(画图理解) * 如果根节点的索引为i,那么其左孩子节点的索引为2i,右孩子节点的索引为2i+1. * * 遍历树时,使用前序(根-左-右) */ public static void tier(char[] data, TreeNode root, int index){
data[index] = root.data; //当前根装到数组里面 if(root.left != null){
tier(data, root.left, index*2);//左孩子的索引为父亲的2倍 } if(root.right != null){
tier(data, root.right, index*2+1);//右孩子的索引为父亲的2倍+1 } } / * 层次遍历,利用队列的FIFO特性实现。 */ public static void tierByQueue( TreeNode root){
Queue<TreeNode> queue = new ArrayBlockingQueue<>(2<<3); queue.add(root); while(!queue.isEmpty()){
TreeNode curNode = queue.poll(<
讯享网

版权声明:本文内容由互联网用户自发贡献,该文观点仅代表作者本人。本站仅提供信息存储空间服务,不拥有所有权,不承担相关法律责任。如发现本站有涉嫌侵权/违法违规的内容,请联系我们,一经查实,本站将立刻删除。
如需转载请保留出处:https://51itzy.com/kjqy/48123.html