单纯形法
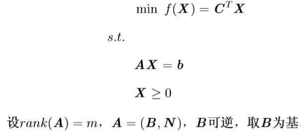
现在假设原线性规划中,不存在单位矩阵 I I I,所取的基是一般形式的 B B B,则形式如下:

讯享网
①最优解判别准则(如何判断我们得到的解是否是最优解,然后终止迭代):
判别数和基都一般化时的情况:

若令 σ j = C B T B − 1 P j − c j \sigma_j=C^T_BB^{-1}P_j - c_j σj=CBTB−1Pj−cj, j = 1 , … , n j = 1,\dots,n j=1,…,n,则当任意 σ j ≤ 0 \sigma_j\leq 0 σj≤0时, X = ( B − 1 b , 0 ) X = (B^{-1}b,0) X=(B−1b,0)为最优解
②换基操作:如果当前顶点不是最优解时,如何从一个基可行解(顶点)沿下降方向到另一个基可行解(顶点)

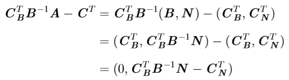
设第 l l l列是进基列,第 k k k列是出基列, a k l a_{kl} akl是主元,即 σ l > 0 \sigma_l >0 σl>0, a k l > 0 a_{kl} > 0 akl>0,则我们的目标是将 P l P_l Pl通过行初等变换变成单位向量,此时 P k P_k Pk变成非单位向量,如下:

行初等变换规则(分为系数和增广系数)如下,不用死记硬背:

主元的选择方法:
首先,主元必须大于0,不然进基后,增广系数会为负数,破坏标准线性规划形式;在同样大于0的情况下,要保证在行变换过程中所有增广系数都非负,因此满足下式成立:

③进基列的选择:如何选择进基列可以使目标函数有较大的下降
- 基可行解 X 0 = ( B − 1 b , 0 ) X^0=(B^{-1}b,0) X0=(B−1b,0)非退化
若是退化的基可行解,则此时不同的基可能对应相同的解,因此是非严格下降的,该要求能保证严格递减 - 进基列的判别数 σ j > 0 \sigma_j >0 σj>0
σ j > 0 \sigma_j >0 σj>0说明以它为基,目标函数值还可以减小 - 进基列向量中至少有一个元素是正的
保证可以变小并且是有界的变小,而不是无穷小导致原线性规划无最优值
判别数:
σ j = C B T B − 1 P j − c j \sigma_j = C^T_BB^{-1}P_j-c_j σj=CBTB−1Pj−cj
无解:判别数 σ j > 0 \sigma_j >0 σj>0,但是 P j < 0 P_j<0 Pj<0,此时无解
无穷多最优解:存在一个非基变量对应的判别数为0
唯一解:所有非基变量对应的判别数严格小于0

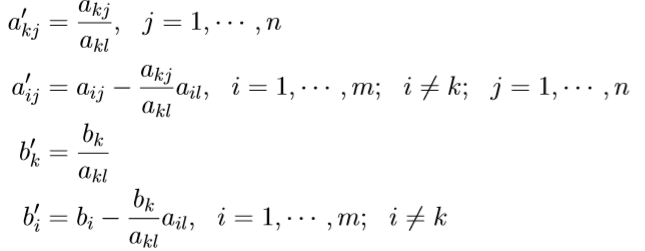
补充:计算单纯形表最后一行的小技巧
在进行换基运算时,可以同时对单纯行表最后一行做行初等变换(让进基列判别数为0),变换公式如下:

避免循环
当基可行解退化时,可能出现循环情况
解决方法:左上原则
进基列选择所有判别数为正的最左边的一列,主元选择(多个最小值)行标最小的
修正单纯形法(一般计算机编程实现用)
优点: 不需要画多个表格,只需要存储一个基矩阵的逆
思想: 用初等矩阵记录一系列的行初等变换的过程,只保留参与迭代的列向量的运算
新一轮迭代:
上一轮迭代变换后的进基列 P j k − 1 = B k − 1 − 1 P j 0 P_j^{k-1} = B_{k-1}^{-1}P_j^0 Pjk−1=Bk−1−1Pj0
加入新进基列后的矩阵 M M M,强制转化成单位阵需要的初等矩阵 E E E,也就是求 M M M的逆
在上一轮基矩阵的逆的基础上,得到新一轮基矩阵的逆: B k = M − 1 B k − 1 B_k = M^{-1}B_{k-1} Bk=M−1Bk−1
计算新 b b b、新 σ \sigma σ
根据新 σ \sigma σ找出本轮的进基列,并计算本轮迭代变换后的进基列 P j k = B k − 1 P j 0 P_j^{k} = B_{k}^{-1}P_j^0 Pjk=Bk−1Pj0
根据本轮迭代变换后的进基列和新 b b b,挑选主元进入下一轮迭代

版权声明:本文内容由互联网用户自发贡献,该文观点仅代表作者本人。本站仅提供信息存储空间服务,不拥有所有权,不承担相关法律责任。如发现本站有涉嫌侵权/违法违规的内容,请联系我们,一经查实,本站将立刻删除。
如需转载请保留出处:https://51itzy.com/kjqy/47696.html