平面问题成立的条件
- 荷载面为长条形,宽度有限,长度无限(一般当长度是宽度的5倍时,可以视为平面问题)
- 长度方向为均布荷载
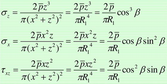
平面问题之 线荷载—费拉曼解



其结果仅与R1,p 和 β 有关,表明长度垂直的任何平面上的应力状态完全相同,即截面任一点的附加应力,仅与宽度 b 方向的荷载有关。
地基中的附加应力计算 —— 平面问题平面问题成立的条件 荷载面为长条形 宽度有限 长度无限 一般当长度是宽度的 5 倍时 可以视为平面问题 长度方向为均布荷载 平面问题之 线荷载 费拉曼解 其结果仅与 R1 p 和 有关 表明长度垂直的任何平面上的应力状态完全相同



其结果仅与R1,p 和 β 有关,表明长度垂直的任何平面上的应力状态完全相同,即截面任一点的附加应力,仅与宽度 b 方向的荷载有关。
版权声明:本文内容由互联网用户自发贡献,该文观点仅代表作者本人。本站仅提供信息存储空间服务,不拥有所有权,不承担相关法律责任。如发现本站有涉嫌侵权/违法违规的内容,请联系我们,一经查实,本站将立刻删除。
如需转载请保留出处:https://51itzy.com/kjqy/36945.html