生长曲线拟合–公式详细推导与matlab程序
写作目的
网上缺少详细的分析基于测量OD拟合Logistic方程的资料。
公式中具体的生物学意义与详细推导过程缺少汇总的文章。
经常遗忘公式的来源,对过程不熟悉,本文主要强化个人知识分享整理的内容。
其他生物学模型,可以过往发的博客 例如:https://blog.csdn.net/_/article/details/
本文主要内容
- 基于测量的 O D 600 OD_{600} OD600进行生长曲线的拟合
- 详细的公式推导过程
- 完整的matlab代码以及详细的代码注释
- 对公式中涉及的生物学意义进行说明
持续更新
- 对不同条件下生长曲线进行聚类分析
公式推导说明
- 公式基于公开的逻辑回归方程,本文主要是细化具体的推导过程
- 推导过程主要是给自己做个记录(个人需求)
- 如果对推导过程有问题,可以留言说明。
- 推导过程与代码实际运行有出入
公式推导
Logistic模型的微分表达式
1 N i ∂ N i ∂ t = r ( 1 − N i K ) ( 1 ) \frac{1}{N_{i}}\frac{\partial N_{i}}{\partial t}=r({1-\tfrac{N_{i}}{K}}) \uad (1) Ni1∂t∂Ni=r(1−KNi)(1)
将右边移项到左边构成
( 1 − N i K ) ∗ 1 N i ∂ N i = r ∂ t ( 2 ) ({1-\frac{N_{i}}{K}})*\frac{1}{N_{i}}{\partial N_{i}}=r\partial t \uad (2) (1−KNi)∗Ni1∂Ni=r∂t(2)
两边同时积分
− ( 1 K − N i − 1 N i ) ∂ N i = ∫ r ∂ t ( 3 ) -(\frac{1}{K-N_{i}}-\frac{1}{N_{i}}){\partial N_{i}}=\int r{\partial t } \uad (3) −(K−Ni1−Ni1)∂Ni=∫r∂t(3)
l n K − N i N i = − r t + c ( 4 ) ln \frac{K-N_{i}}{N_{i}}=-rt+c \uad (4) lnNiK−Ni=−rt+c(4)
两边同时取e的对数
K − N i N i = c ∗ e − r t ( 5 ) \frac{K-N_{i}}{N_{i}}=c*e^{-rt}\uad (5) NiK−Ni=c∗e−rt(5)
K N i = c ∗ e − r t + 1 ( 6 ) \frac{K}{N_{i}}=c*e^{-rt}+1\uad (6) NiK=c∗e−rt+1(6)
两边取倒数,再两边乘K
N i = K c ∗ e − r t + 1 ( 7 ) {N_{i}}= \frac{K}{c*e^{-rt}+1}\uad (7) Ni=c∗e−rt+1K(7)
参数说明
- r r r 不同资源下的最大生长速率 K K K 在特定资源下的特征生长速率。c为微分常数
- 有文献说 r与k的大小差异能反映进化过程中策略选择。关于r策略与k策略详细见博客{1}中的文章
matlab代码程序
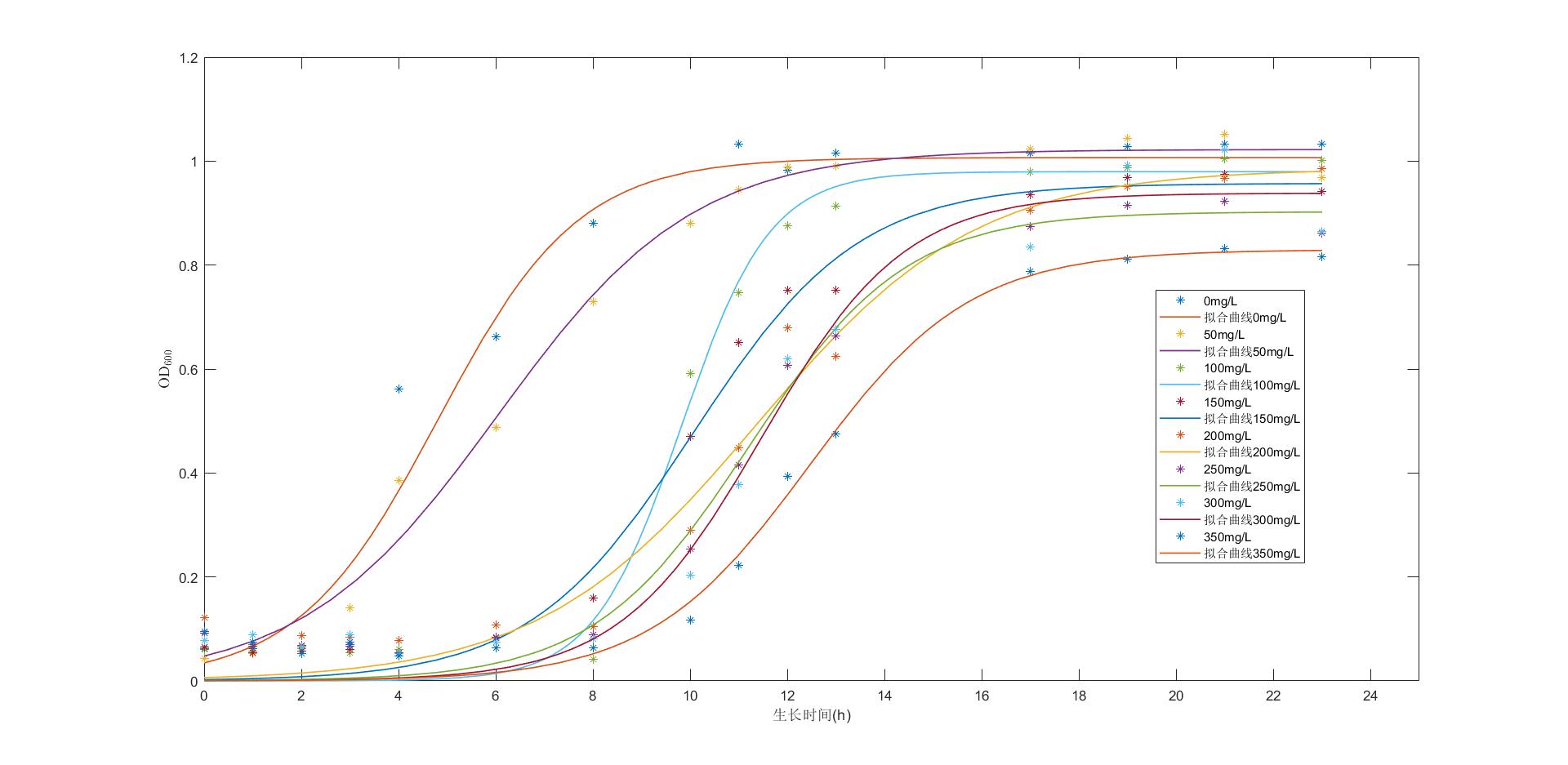
%% 生长曲线拟合 clc clear close all [~, ~, raw] = xlsread('C:\Users\huang\Desktop\生长.xlsx','Sheet1','C2:M16'); %导入文件 %% 创建输出变量 U_1= reshape([raw{:}],size(raw)); %% 清除临时变量 clearvars raw; U_1(:,2:end)=U_1(:,2:end)/1000; a_num=1;%标记数值 for i=4:size(U_1,2) %输入要拟合数据内容 x=U_1(:,1); y=U_1(:,i); fx=@(b,x)(b(1)./(1+b(2).*exp(-b(3).*x))); %x=xlsread('data','a1:b111');输入第一组数据 % data1 % plot(x,y,'o','markerfacecolor','r') b=[1 0.6 4.3]; %初始迭代值 最大值 生长速率 (根据具体实验来设定,初始值在本方程拟合影响不大) for l=1:30 %拟合过程迭代 b=lsqcurvefit(fx,b,x,y); b=nlinfit(x,y,fx,b); end n=length(y); disp('data1') SSy=var(y)*(n-1); y1=fx(b,x); RSS=(y-y1)'*(y-y1); Rsquare(1,a_num)=(SSy-RSS)/SSy; x1=linspace(min(x),max(x),300); y1=fx(b,x1); plot(x,y,'*') hold on b_num(a_num,:)=b;%保存每次拟合的系数信息 a=strcat(num2str(b(1)),'./(1+',num2str(b(2)),'.*exp(-',num2str(b(3)),'.*x))'); %拟合的函数 fplot(a,[min(x),max(x)],'linewidth',1)% 绘制拟合的函数 % plot(x1,y1,'-','linewidth',1) %绘制曲线 % plot(x1,y1,'b-','linewidth',2.5) hold on % plot(x,y,'o') % plot(x,y,'o','markerfacecolor','r') % tex=texlabel(strcat(num2str(b(1)),'./(1+',num2str(b(2)),'.*exp(-',num2str(b(3)),'.*x))'));%公式表示 % text(5,1.1,tex) %文本位置 hold on a_num=a_num+1; end xlabel('生长时间(h)','Interpreter','LaTex') ylabel('OD$_{600}$','Interpreter','LaTex') legend('0mg/L','拟合曲线0mg/L','50mg/L','拟合曲线50mg/L','100mg/L','拟合曲线100mg/L','150mg/L','拟合曲线150mg/L',... '200mg/L','拟合曲线200mg/L','250mg/L','拟合曲线250mg/L','300mg/L','拟合曲线300mg/L','350mg/L','拟合曲线350mg/L') % legend('Position',[0.126 0.8987 0.03652 0.0545]) xticks(min(x):2:max(x)+2); %x坐标区间范围以及间隔 hold off %% 不同生长OD聚类 figure % y_1=b_num(:,1); % plot(b_num(:,1),b_num(:,3),'*') % ylim([0.3,max(b_num(:,3))]) % yticks([0.3:0.1:max(b_num)]); a=[1:8]; [cidx, ctrs] =kmeans(b_num(:,1:2:3),3); plot(b_num(cidx==1,1),b_num(cidx==1,3),'r*', ... b_num(cidx==2,1),b_num(cidx==2,3),'b*',b_num(cidx==3,1),b_num(cidx==3,3),'y*'); a=num2cell(a); text(b_num(:,1),b_num(:,3)*1.04,a) xlabel('k') ylabel('r')
讯享网
代码运行结果
生长曲线拟合

拟合的曲线聚类

数据展示

版权声明:本文内容由互联网用户自发贡献,该文观点仅代表作者本人。本站仅提供信息存储空间服务,不拥有所有权,不承担相关法律责任。如发现本站有涉嫌侵权/违法违规的内容,请联系我们,一经查实,本站将立刻删除。
如需转载请保留出处:https://51itzy.com/kjqy/30201.html