车灯线光源的优化:
安装在汽车头部的车灯的形状为一旋转抛物面,车灯的对称轴水平地指向正前方, 其开口半径36毫米,深度21.6毫米。经过车灯的焦点,在与对称轴相垂直的水平方向,对称地放置一定长度的均匀分布的线光源。要求在某一设计规范标准下确定线光源的长度。
该设计规范在简化后可描述如下。在焦点F正前方25米处的A点放置一测的同侧取B点和C点,使AC=2AB=2.6米。要求C点的光强度不小于某一额定值(可取为试屏,屏与FA 1个单位),B点的次数不小于该额定值的两倍(只须考虑一次反射)。
问题提出:
1.问题提出 :
(1)在满足该设计规范的条件下,计算线光源长度,使线光源的功率最小。
(2)对得到的线光源长度,在有标尺的坐标系中画出测试屏上反射光的亮区。
问题分析:
问题一分析:
1)在该直线A点的同侧取B点和C点,其中AC=2AB=2.6米,已知点A为 ,可求得点B为 ,点C为 。
2)将线光源离散化看作连续的点光源,点B、C的光强度可看作为反射光线进入该范围内(点B、C周围1mm内)的光线根数。
3)点光源进入该范围内光线根数越多,光强度越强。
问题二分析:
将最初假设线光源强度8mm替换为问题一中得到的线光源长度L,再次运用Matlab软件画出测试屏上反射光的亮区。
模型建立与求解:
车灯的形状为一旋转抛物面,将该图形放到空间直角坐标系中进行分析。

讯享网
1)旋转抛物面,就是指抛物线旋转对称轴180°所得到的面。绕y轴旋转后,所得旋转抛物面方程为:

根据题意分析,点 在旋转抛物面上,将该点带入上述方程,得 ,焦点F为 所以,该抛物面方程为:

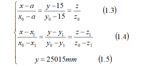
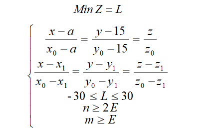
2)假设线光源射到抛物面上有某一反射点 ,根据点A确定抛物面的切面方程,分别对x、y、z求偏导,法线方程为:

3)已知法线方向向量为:{(a+x1)/2,(y1+15)/2,z1/2}设入射点Q为 ,其对称点 为 ’=(x1-a,y1-15,z1),中点M即为 则 。根据入射点Q与点K,可建立入射光线的空间直线方程;根据点 点K,可建立入射光线的空间直线方程,即为:

根据入射光线与反射光线关于法线对称这一原理,得出下式:

4)在坐标系中,测试屏与对称轴的交点A坐标为(0,25015,0) ,y=25015mm 。
5)根据以上叙述,线光源在测试屏反射形成的亮区,应满足以下方程:

问题一要求,使线光源的功率最小,在该条件下,只需计算最短线光源长度即可。因此:

Min Z = L
讯享网
问题一模型的建立

问题一求解:
通过将线光源离散化看作连续的点光源,运用Matlab软件编程求解,求得最短线光源长度L=3.18mm。
matlab求解:
讯享网w=15; for r=-15:0.01:15 cost1=0; cost2=0; for x=-36:1:36 for z=-36:1:36 y3=25015; y=(x^2+z^2)/60; t=(-2*x^2-2*z^2+2*x*r+60*y-900)/(4*x^2+3600+4*z^2); x1=2*x*t+x; y1=-60*t+y; z1=2*z*t+z; x2=2*x1-r; y2=2*y1-15; z2=2*z1; m=(y3-y2)/(y-y2); x3=m*(x-x2)+x2; z3=m*(z-z2)+z2; if sqrt(x3^2+z3^2)<2601 && sqrt(x3^2+z3^2)>2599 cost1=cost1+1; elseif sqrt(x3^2+z3^2)<1301 && sqrt(x3^2+z3^2)>1299 cost2=cost2+1; end end end if cost1>=2 && cost2>=4 && abs(r)<w w=abs(r); end end w
问题二反射光的亮区的绘制
根据问题一求得线光源长度L=3.18mm,画出测试屏上反射光的亮区。即为将假设长度L=8mm替换为L=3.18mm画出测试屏上反射光的亮区。绘制出的图像如下所示:

结论:通过测试屏照亮情况,光线越密集则越亮,其中越靠近光源中心光强度越强,逐渐向两边降低光线强度;司机在晚上使用车辆时,需要看到前方是否
该模型符合实际生活中,车在道路上行驶的照明情况。
matlab求解:
a=[]; b=[]; for r=-1.59:0.01:1.59 for x=-36:1:36 for z=-36:1:36 y3=25015; y=(x^2+z^2)/60; t=(-2*x^2-2*z^2+2*x*r+60*y-900)/(4*x^2+3600+4*z^2); x1=2*x*t+x; y1=-60*t+y; z1=2*z*t+z; x2=2*x1-r; y2=2*y1-15; z2=2*z1; m=(y3-y2)/(y-y2); x3=m*(x-x2)+x2; z3=m*(z-z2)+z2; a=[a,x3]; b=[b,z3]; end end end plot(a,b,'.');
6.模型评价与推广
6.1模型优点
1、模型具有可靠的数学基础,科学合理,可信度高。
2、通过将线光源离散化,使得模型考虑更加全面,加快了运算速度。
3、该模型能够很好的与生活联系,具有很好的推广性。
6.2模型缺点
1、缺点就是太完美了,这么完美的论文怎么可能有人写出来呢!!!
6.3模型推广
该模型在一定程度上有效地解决了车灯线光源的优化设计问题,在使线光源的功率最小的条件下,求出了线光源的长度。车灯的形状结构为旋转抛物面,它主要应用于车灯、手电筒、雷达等物品上,本篇文章主要研究车灯的反射光测试,根据旋转抛物面的用途,该模型还可以应用于雷达等信号源的信号反射测试中。模型实用意义强、使测试结果更有效,应大力推广。
版权声明:本文内容由互联网用户自发贡献,该文观点仅代表作者本人。本站仅提供信息存储空间服务,不拥有所有权,不承担相关法律责任。如发现本站有涉嫌侵权/违法违规的内容,请联系我们,一经查实,本站将立刻删除。
如需转载请保留出处:https://51itzy.com/kjqy/30026.html