只听名字的话会感觉对偶单纯形法和对偶问题关系很大,其实不然(想要了解对偶问题的话可以看我之前的文章)。对偶单纯形法在我看来和大M法以及两阶段法很像,都是用来补充纯粹的单纯形法无法解决特殊问题的缺陷。而且对偶单纯形法更加“强大”,因为它可以在等式右端(b)为负值时直接求解,这也是选择使用它的大多数场景。
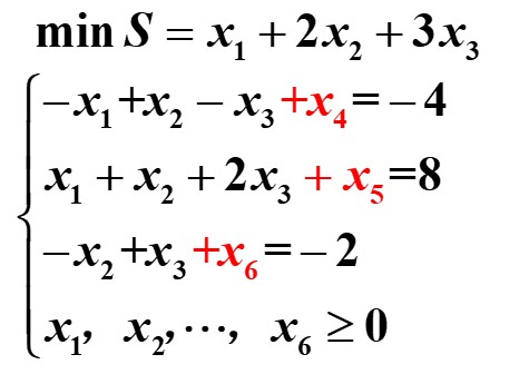
接下来以下图中题为例直接进行讲解:

讯享网
设:对偶法 = 对偶单纯形法
第一步: 与单纯形法一样,对偶法第一步仍然是要化成标准形式,但是注意这里化成标准形式时和单纯形法不同。由于对偶法计算时等式右端可以为负值,所以为了简化计算,统一将不等式符号化为“<=”,也就是只添加松弛变量(另一种是剩余变量)。即原式化为:

相应的单纯形表:

判断对偶法为最优解的方法:左下值(b值)全为正数(也就是-4,8,-2那里),以及检验数全为非正。

第二步: 如果该基本解不是最优解那么就要进行换基迭代,但是对偶法的迭代法和单纯形法的方式不太一样。回忆下单纯形法的迭代方式(这里以min类型函数为例,我一般都是这样写):①找检验数中最大的值(假如以上图中的单纯形表为例),这里要找的值就是-1,然后用x4,x5,x6对应的b值去除以相应的-1下的每一行数(-4/-1,8/1),注意下我没有写-2/0,因为当要除的数为0时一般就不考虑将该x换出的可能了。然后根据计算出的数值(4,8)取其中最小的数所对应的x,并将其做出基处理。接着说对偶法的换基迭代方式 ,与单纯法所考虑的重点不同,对偶法主要目的是要将b值全部化为正数,因此要优先考虑将b值中最小的数做出基处理,这里选的值为-4,然后用检验数除以该行对应的相应列的数(-1/-1,-3/-1),注意这里除的时候只有两个需要考虑,因为做除数的值必须要为负值,否则不考虑入基的情况(被除数÷除数),取最小的值做入基处理,即本题选的是-1,也就是x1。然后进行初等行变换即可,如果达不到最优解的条件就要继续换基迭代。
剩余步骤如下:



因为b值全都非负,得最优单纯形表,所以得原问题得最优解为x1 = 6,x2 = 2,x3 = 10,最优值为S = 10. (这里写错了,具体请看评论区)
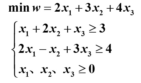
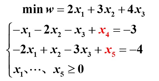
下面再举一个例子,并附上对应步骤:





得原问题的最优解为 x1 = 11/5,x2 = 2/5,x3 = 3;最优值为 w = 28/5。
原创不易,你的鼓励是最大的支持。(约耗时1小时30分钟)
版权声明:本文内容由互联网用户自发贡献,该文观点仅代表作者本人。本站仅提供信息存储空间服务,不拥有所有权,不承担相关法律责任。如发现本站有涉嫌侵权/违法违规的内容,请联系我们,一经查实,本站将立刻删除。
如需转载请保留出处:https://51itzy.com/kjqy/27618.html