拉普拉斯方程的格林函数法
数理方程第四章之拉普拉斯方程的格林函数法
- 行波法:无界空间波动问题,有局限性
- 分离变量法:各种有界问题,其解为无穷级数
- 积分变换法:各种无界问题,其解为无限积分
1.格林函数法:其解为含有格林函数的有限积分。
由:
得
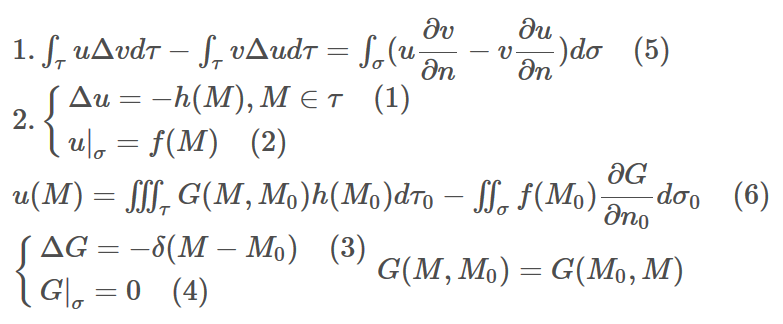
u(M)=∭τG(M,M0)h(M0)dτ0−∬σf(M0)∂G∂n0dσ0
G(M,M0)−狄氏格林函数
2.格林函数:点源函数,点源产生的场和影响若外力f(x,t)只在ξ点,τ时起作用

3.为何引入格林函数法:

(1)解的形式(有限积分)便于理论分析和研究
(2)以统一的形式研究各类定解问题
(3)对于线性问题,格林函数一旦求出,就可以算出任意源的场,关键就是求点源
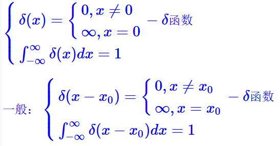
1.1δ函数
1.1.1δ函数的引入
1.物理背景

2.定义:

3.注意:
(1)δ−密度函数和点源函数
若在x=x0点放有m质量,总质量m,则ρ(x)=mδ(x−x0)
若在x=x0点放有电量为q的点电荷,总电量为q,则ρ(x)=qδ(x−x0)
(2)δ广义函数
1.1.2δ函数的性质
设f(x)在(−∞,∞)连续,则
1.∫∞−∞f(x)δ(x−x0)dx=f(x0)[∫∞−∞f(x)δ(x)dx=f(0)]
注意:δ也能表示连续分布的函数
f(t)=∫∞−∞f(τ)δ(τ−t)dτ=∫baf(τ)δ(τ−t)dτ
附:判断函数相等的一种方法:
设f(x)与g(x)都是定义在(a,b)区间上的函数,若对于定义在(a,b)区间上的任意连续函数φ(x)都有如下等式成立:∫baf(x)φ(x)dx=∫bag(x)φ(x)dx,则必有:f(x)=g(x),特别:若∫baφ(x)g(x)dx=0,则必有g(x)=0
2.若定义ddxδ(x)=δ′(x)−δ函数的导数,则
(1)∫∞−∞f(x)δ′(x−x0)dx=−f′(x0)
(2)(x−x0)δ′(x−x0)=−δ(x−x0)
(3)∫∞−∞f(x)δ(n)(x−x0)dx=(−1)nf(n)(x0)
3.δ[φ(x)]=∑i=1nδ(x−xi)|φ′(xi)|,其中φ(xi)=0
1.1.3高维δ函数
1.定义:

1.1.4例题
1.∫21sinxδ(x−12)dx=0
2.∫21sinxδ(x)dx=0
3.∫∞−∞∫∞−∞sin(x+y)δ(x+2)δ(y−1)dxdy=sin(−1)
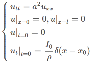
4.长为1,密度为ρ的弦两端固定,初位移为零,初始时刻在x=x0点受到一横向冲量I0.试写出弦的横震动的定解问题.

1.2泊松方程的狄氏问题

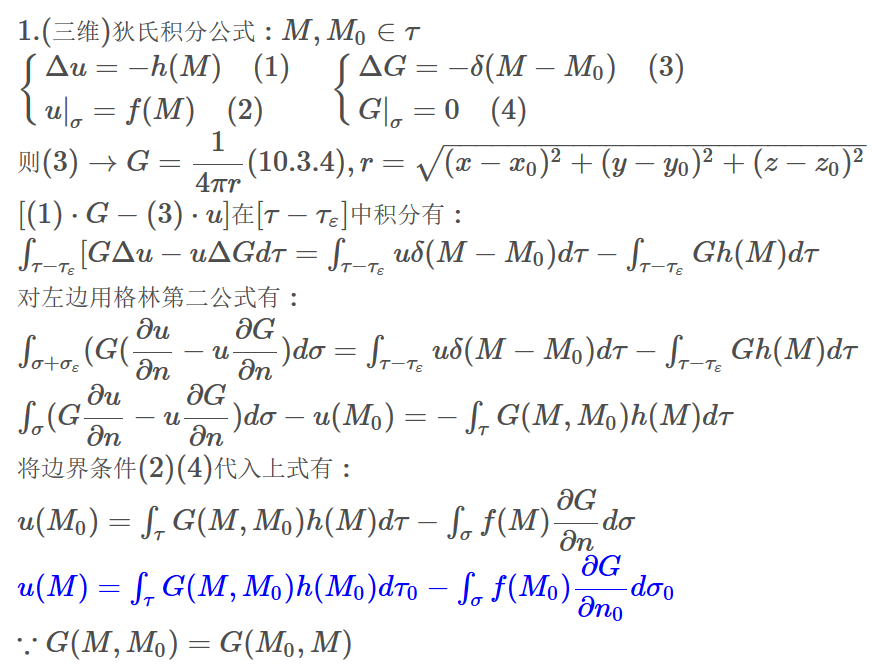
1.2.1格林公式
1.为何引入格林公式
(1)积分公式的起点是通过直接积分或分部积分将未知函数从微分号下解脱出来
(2)我们要求解的三类数值方程中均含有Δ,格林公式是将未知函数,从微分算法Δ下解脱出来的工具.设u(x,y,z),v(x,y,z)在τ中具有连续的二阶导数,在τ¯上具有连续的一阶导数,则有如下格林公式:
2.格林第一公式
∫τuΔvdτ+∫τ∇u⋅∇vdτ=∫σu∂v∂ndσ(3)
∫τvΔudτ+∫τ∇u⋅∇vdτ=∫σv∂u∂ndσ(4)
3.格林第二公式
∫τuΔvdτ−∫τvΔudτ=∫σ(u∂v∂n−v∂u∂n)dσ(5)
意义:(1)将u,v,Δu,Δv的值与u,v,∂v∂n,∂u∂n的边值联系起来.
(2)u,v堆成
(3)若已知v,Δv=0,及v|σ,则由格林公式可能求得
之解.
4.球面平均值公式
(1)定义:
u¯(r,t)=14πr2∬SM0ru(M,t)ds
=14π∬SM0ru(M,t)dΩdΩ=dsr2=sinθdθdφ
−u(M,t)在以M0为中心,r为半径的球面SM0r上的平均值.
(2)显然u(M0,t0)=limr→0u¯(r,t0)
1.2.2积分公式−格林函数法
1.(三维)狄氏积分公式:M,M0∈τ

2.狄氏积分公式的物理意义:

3.(二维)狄氏积分公式

1.2.3小结

1.3格林函数
1.3.1泊松方程的格林函数

1.3.2狄氏格林函数
1.三维:
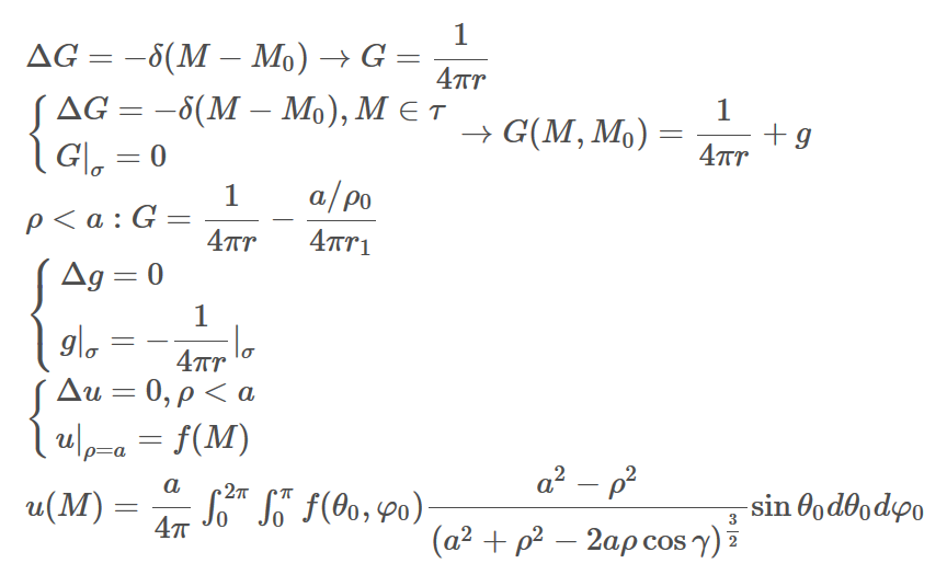
{ΔG=−δ(x−x0,y−y0,z−z0),M∈τG|σ=0
令G(M,M0)=F(M,M0)+g(M,M0)
使ΔF(M,M0)=−δ(M−M0)M∈τ,则
G(M,M0)=14πr+g−狄氏格林函数
⎧⎩⎨Δg=0,M∈τg|σ=−14πr|σ
2.二维:
{ΔG=−δ(x−x0,y−y0)G|l=0
G=12πln1r+g−狄氏格林函数
⎧⎩⎨g=0,M∈σg|l=−12πln1r|l
3.狄氏格林函数的物理意义:
{ΔG=−δ(M−M0),M∈τG|σ=0
G(M,M0)=14πr+g⎧⎩⎨Δg=0,M∈τg|σ=−14πr|σ
G−M点点位⎧⎩⎨⎪⎪⎪⎪⎪⎪⎪⎪⎪⎪ε0提供:14πε0ε0r=14πr感应电荷提供v:⎧⎩⎨Δv=0,M∈τ∵v=gv|σ=−14πr|σ
求G→求M点点位→求感应电荷产生的点位
对于三维:即求:⎧⎩⎨Δg=0,M∈τg|σ=−14πr|σ
对于二维:即求:⎧⎩⎨Δg=0,M∈σg|l=−12πln1r|l
1.3.3用电像法求狄氏格林函数
1.问题引入:
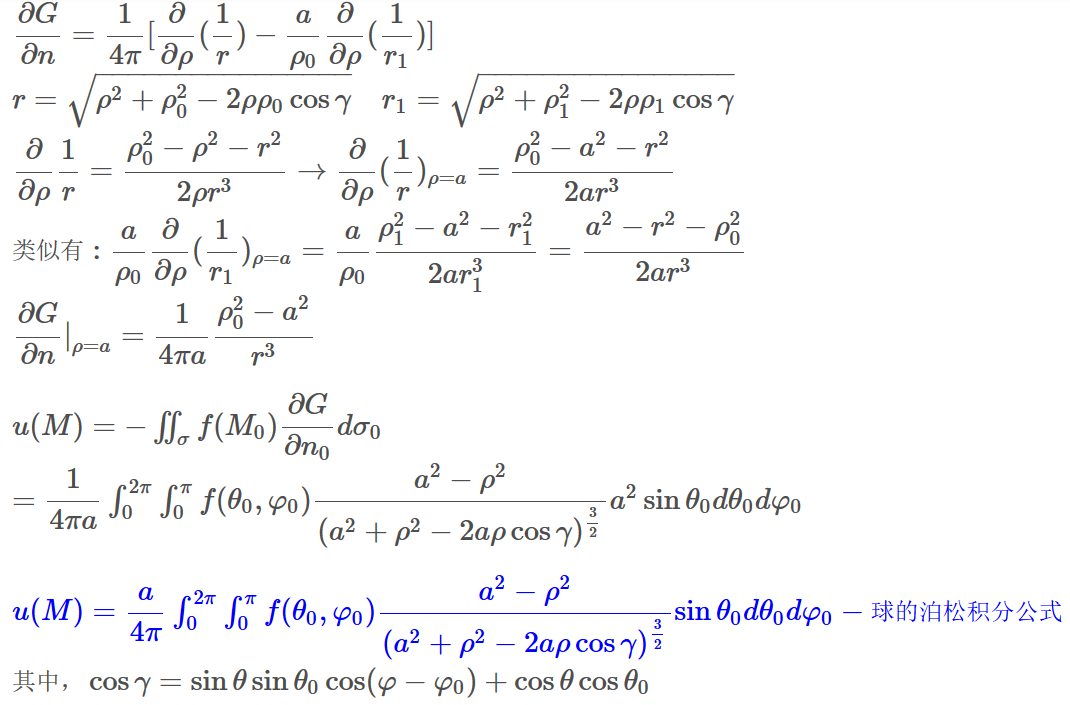
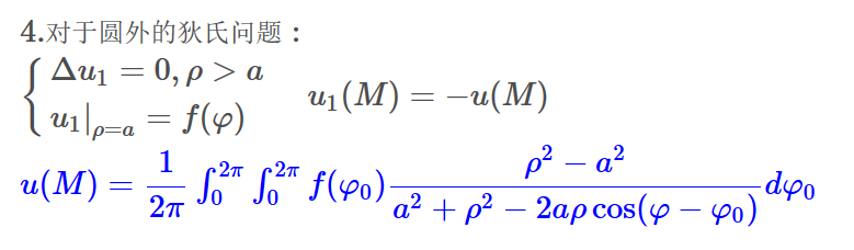
求解球内狄氏问题:{Δu=0,ρ<au|ρ=a=f(M)
解:u(M)=−∬σf(M0)∂G∂n0dσ0
G(M,M0)=14πr+g;⎧⎩⎨Δg=0,M∈ρ<ag|ρ=a=−14πr|ρ=a
求u→求G→求M点电位→求感应电荷产生的点位g
2.用电像法求g:
(1)分析:若能在σ外的某点M1放一适当的负q,则
Δ(−q4πε0r1)=0,M∈ρ<a
使:−q4πε0r1|ρ=a=−14πr|ρ=a
则g=−qrπε0r1
∴求g→a)确定M1的位置;b)确定q大小问题
(2)求球域的G
a)r1=?记|OM0|=ρ0,|OM1|=ρ1,使ρ0⋅ρ1=a2,即ρ0a=aρ1
则称M1为M0关于球面ρ=a的像
b)q=?1r|σ=?
∵ΔOM0M∼ΔOM1M
∴ρ0a=aρ1=rr1,即1r|ρ=a=a/ρ0r1|ρ=a
g=−ε0a/ρ04πε0r1=−a/ρ04πr1,q=ε0aρ0
G=14πr−a/ρ04πr1,−q=−ε0aρ0是ε0的电像
(3)电像法:这种在像点放一虚构的点电荷,来等效代替边界面上的感应电荷所产生的点位的方法称之为电像法。
3.求u(M)

1.3.4注释
1.cosγ=?
设I⃗ 为OM→方向单位向量,I0→为OM0→方向单位向量,则
I⃗ =xi⃗ +yj⃗ +zk⃗ =sinθcosφi⃗ +sinθsinφj⃗ +cosθk⃗
I0→=x0i⃗ +y0j⃗ +z0k⃗ =sinθ0cosφ0i⃗ +sinθ0sinφ0j⃗ +cosθ0k⃗
∴I⃗ ⋅I⃗ 0=|I⃗ ⋅I⃗ 0|cosγ=cosγ
=sinθcosφsinθ0cosφ0+sinθsinφsinθ0sinφ0+cosθcosθ0


1.3.5小结

生活给了你一块阴影,必会在不远的地方撒下阳光

版权声明:本文内容由互联网用户自发贡献,该文观点仅代表作者本人。本站仅提供信息存储空间服务,不拥有所有权,不承担相关法律责任。如发现本站有涉嫌侵权/违法违规的内容,请联系我们,一经查实,本站将立刻删除。
如需转载请保留出处:https://51itzy.com/kjqy/27306.html