目录
1.结点电压法
2.无伴电压源的处理
3.受控源的处理
挑战★★★★★
1.结点电压法
以结点电压为电路变量,根据KCL列写电路方程求解电路的方法,称为结点电压法,也称结点分析法。
列写结点电压方程的一般步骤为:
①任意选择一个结点为参考结点,则其余n-1个结点为独立结点;
②对n-1个独立结点,依据KCL列写结点电压方程,第k个结点的方程形式如下(即列写规则)
式中,
为第k个结点的自导,
为第k个结点和第j个结点间的互导。自导总是为正,它等于连接于该结点的所有支路的电导之和;互导总为负,它等于连接于结点间的支路电导的负值。
和
分别为第k和第j个结点电压。
为第k个结点的流入电流,等于流向结点的电流源电流的代数和,即流入结点取“
”,流出结点取“
”。
题1求图1所示电路中的各支路电流。

图1
解析:电路只有两个结点,以接地点为参考结点,则设另一结点电压为u,列结点电压方程

解得![]()
![]()
![]()
启示:当电路中结点个数少,或者需要求解的结点电压变量较少时,使用结点分析法较为方便,当电路中网孔(回路)个数少,或者需要求解的网孔(回路)电流变量较少时,使用网孔(回路)分析法更为合适。在大多数情况下,结点电压法比回路电路法(网孔电流法)所列方程组更为简捷,且实际应用中计算电压的场合较多,因此结点电压法更为常用。
2.无伴电压源的处理
⑴无电阻与之串联的电压源称为无伴电压源。
当无伴电压源作为一条支路连接于两个结点之间时,支路电流不能通过支路电压表示。
⑵对无伴电压源,可以采用以下两种方法:
①选无伴电压源的负极为参考结点,则关于另一端的结点电压已知,无需再列方程;
②附加变量法:以无伴电压源的电流为未知量列KCL方程,并增补结点电压与无伴电压源电压之间的关系。
3.受控源的处理
⑴当电路中含受控电流源时,先将其当作独立源,按常规方法列写结点电压方程,再把控制量用结点电压表示,代入方程,并将方程整理为标准形式(也可以不用代入,直接将控制量表达式作为附加方程);
⑵当电路中包含有伴受控电压源时,将控制量用有关的结点电压表示并将该受控电压源等效为受控电流源;
⑶当电路中包含无伴受控电压源时,参照前述无伴独立电压源的处理方法。
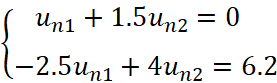
题2列出如图2所示电路的结点电压方程,并求电压U。

图2
解析:根据图2标注的结点,列结点电压方程为

题目要求写结点电压方程,因此应该整理成标准形式如下


解得

![]()
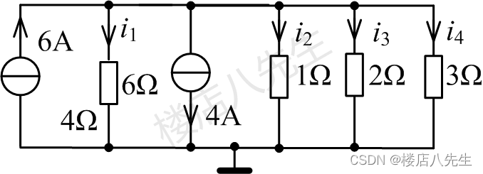
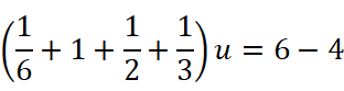
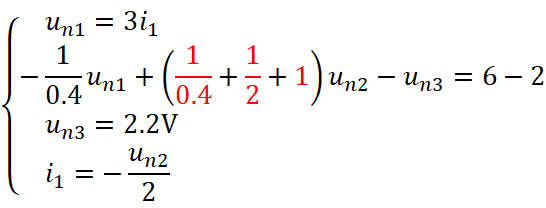
题3列出图3所示电路的结点电压方程,并求出两个独立电流源发出的功率。

图3
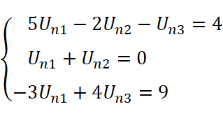
解析:选择参考结点(取无伴电压源的一端),并标注电路如图4所示,列结点电压方程(含附加方程)为


图4
整理成标准形式如下

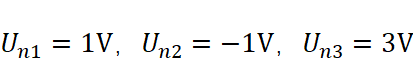
解得

故,独立电流源发出的功率为
![]()

注:与2A电流源串联的2Ω电阻相当于“虚元件”,该电阻和电流源的组合对外等效为电流源,所以该电阻不能出现在结点电压方程中,但是在计算电流源端电压时又需考虑其上电压影响。
挑战★★★★★
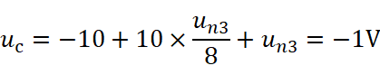
题4如图5所示电路,若使5V电压源发出的功率为0,则需要可变电阻
为多少?并求出此时受控源发出/吸收多少功率。

图5
解析:依题意,5V电压源所在支路电流为0,设流过
支路的电流为
,如图6所示。列结点电压方程及附加方程为

解得


图6


受控源两端电压为

受控源发出功率为


版权声明:本文内容由互联网用户自发贡献,该文观点仅代表作者本人。本站仅提供信息存储空间服务,不拥有所有权,不承担相关法律责任。如发现本站有涉嫌侵权/违法违规的内容,请联系我们,一经查实,本站将立刻删除。
如需转载请保留出处:https://51itzy.com/kjqy/26358.html