delta哥22:30
- 复合函数求导原则:
- (利用区间可加性质)

- (分离型复合函数)把关于t积分上限函数看做一个整体

- (换元法)

注意是f(u)...du,因为dt=...du ...指代没写出来的函数
给个例题(下面的例题会有进阶的写法)

下方全是例题
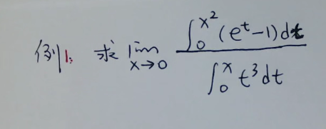
- part1

既然都出现积分上限函数 直接就想怎么去进行求导,极限出现求导当然首想 就是洛他!洛出来就可以结合等价无穷小替换来结束此题了

- part2


先别直接求导,应该先把x和t相关的函数提取出来分在左右两边

求出导函数,别忘了求出原函数时要加C常数,再看题目有没有条件,没有就代个好看点的值,比如1
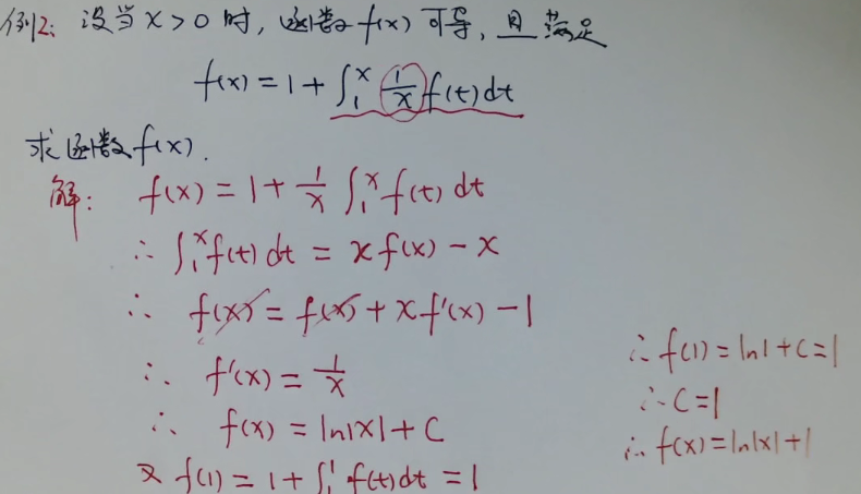
- part3

x和t都属于f()里面,根据刚刚的原则,应该直接想到还原法,看d后面是什么,比如此题是dt,那么就把x当做常数去看,换后重新确定好上下限和等价关系,再进行求导,还原,此题已给出f(0)=1所以在求出原函数直接代指即可把C常数算出来,即可得到完整原函数




版权声明:本文内容由互联网用户自发贡献,该文观点仅代表作者本人。本站仅提供信息存储空间服务,不拥有所有权,不承担相关法律责任。如发现本站有涉嫌侵权/违法违规的内容,请联系我们,一经查实,本站将立刻删除。
如需转载请保留出处:https://51itzy.com/kjqy/24353.html