doublet在模拟IC设计中一般指频率比较接近的一组零极点。经典文章Relationship between frequency response and settling time of operational amplifiers(doi:10.1109/JSSC.1974.)对doublet进行了详细的分析。

讯享网
由左半平面零极点特性可知,当一对零极点的频率相同时,两者对电路的影响可以相互抵消,但实际两者的频率很难做到相同。当零点频率是极点频率的1.32倍时,系统的波特图如上所示,doublet并不会影响系统的稳定性。
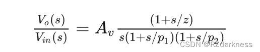
对于一个含有doublet的开环单极点系统:

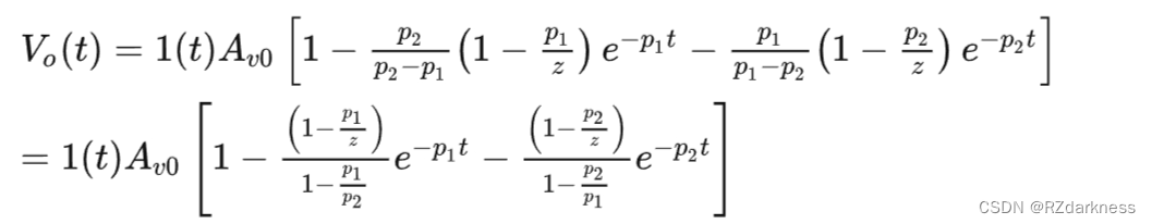
对其进行拉普拉斯反变换可得时域函数

可以发现在开环系统中doublet又引入了一个衰减项,doublet的频率越高,或者doulet越接近对系统的影响越小。
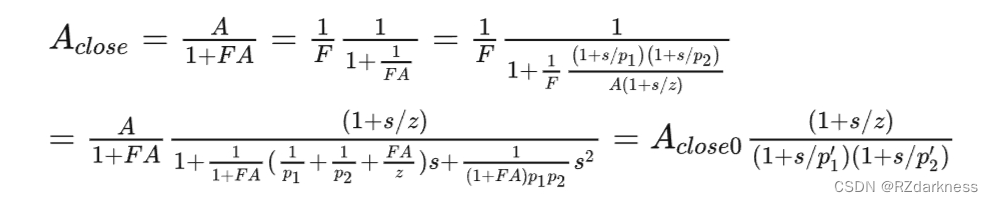
将此系统接成单位负反馈的环路,即

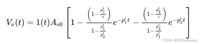
参照开环的时域函数,可以写出闭环的时域函数


若令p2≈z>>p1,闭环函数的新极点分别为

由此时域函数可知,当doublet频率较低时,系统的响应慢,但glitch大;doublet频率较高时,系统响应快,glitch大。

解决措施:

因此一般考虑提升p2`以减少响应时间。
版权声明:本文内容由互联网用户自发贡献,该文观点仅代表作者本人。本站仅提供信息存储空间服务,不拥有所有权,不承担相关法律责任。如发现本站有涉嫌侵权/违法违规的内容,请联系我们,一经查实,本站将立刻删除。
如需转载请保留出处:https://51itzy.com/kjqy/23724.html