Tenengrad评价函数
Tenengrad函数是一种由Tenenbaum提出的,基于梯度的常用图像清晰度评价函数。特南梯度。
在图像处理中,一般认为对焦好的图像具有更尖锐的边缘,故具有更大的梯度函数值。
Tenengrad函数使用Sobel算子提取水平和垂直方向的梯度值,求其平方和作为评价函数。
具体过程如下:
设Sobel卷积核为
,则图像
在点
处的梯度

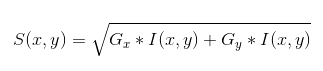
定义该图像的Tenengrad值为:(其中
图像清晰度计算c语言,典型无参考图像清晰度评价(可用作对焦评价函数)Tenengrad 评价函数 Tenengrad 函数是一种由 Tenenbaum 提出的 基于梯度的常用图像清晰度评价函数 特南梯度 在图像处理中 一般认为对焦好的图像具有更尖锐的边缘 故具有更大的梯度函数值 Tenengrad 函数使用 Sobel 算子提取水平和垂直方向的梯度值 求其平方和作为评价函数 具体过程如下 设 Sobel 卷积核为 则图像
Tenengrad评价函数
Tenengrad函数是一种由Tenenbaum提出的,基于梯度的常用图像清晰度评价函数。特南梯度。
在图像处理中,一般认为对焦好的图像具有更尖锐的边缘,故具有更大的梯度函数值。
Tenengrad函数使用Sobel算子提取水平和垂直方向的梯度值,求其平方和作为评价函数。
具体过程如下:
设Sobel卷积核为
,则图像
在点
处的梯度

定义该图像的Tenengrad值为:(其中
版权声明:本文内容由互联网用户自发贡献,该文观点仅代表作者本人。本站仅提供信息存储空间服务,不拥有所有权,不承担相关法律责任。如发现本站有涉嫌侵权/违法违规的内容,请联系我们,一经查实,本站将立刻删除。
如需转载请保留出处:https://51itzy.com/kjqy/23086.html