一.概述
图论(Graph Theory)是数学的一个分支。它以图为研究对象。图论中的图是由若干给定的点及连接两点的线所构成的图形,这种图形通常用来描述某些实体之间的某种特定关系,用点代表实体,用连接两点的线表示两个实体间具有的某种关系。
相比矩阵、张量、序列等结构,图结构可以有效建模和解决社会关系、交通网络、文法结构和论文引用等需要考虑实体间关系的各种实际问题。(关键词:实体间关系)
二.图的基本表示(Graph Representations)
图(Graph)
图可以被表示为 G={V, E},其中 V={v1, ... , vN},E= {e1, ... , eM}。(也就是说,V是节点的集合,即所谓的点集,E是连接两点的线即两点间关系的集合,即所谓的边集)
在顶点集合所包含的若干个顶点之间,可能存在着某种两两关系——如果某两个点之间的确存在这样的关系的话,我们就在这两个点之间连边,这样就得到了边集的一个成员,也就是一条边。对应到社交网络中,顶点就是网络中的用户,边就是用户之间的好友关系。
如果用边来表示好友关系的话,对于微信这种双向关注的社交网络没有问题,但是对于微博这种单向关注的要如何表示呢?
于是引出了两个新的概念:有向边和无向边。
简而言之,一条有向边必然是从一个点指向另一个点,而相反方向的边在有向图中则不一定存在;而有的时候我们并不在意构成一条边的两个顶点具体谁先谁后,这样得到的一条边就是无向边。就像在微信中,A是B的好友,那B也一定是A的好友,而在微博中,A关注B并不意味着B也一定关注A。
对于图而言,如果图中所有边都是无向边,则称为无向图,反之称为有向图。(反之有误,因为所有边都是无向边的否命题是,存在有向边。)
一般而言,我们在数据结构中所讨论的图都是有向图,因为有向图相比无向图更具有代表性。实际上,无向图可以由有向图来表示。如果AB两个点之间存在无向边的话,那用有向图也可以表示为AB两点之间同时存在A到B与B到A两条有向边。
我们来形式化地定义一下图:图是由顶点集合(简称点集)和顶点间的边(简称边集)组成的数据结构,通常用G(V,E)来表示。其中点集用V(G) 来表示,边集用 E(G) 来表示。在无向图中,边连接的两个顶点是无序的,这些边被称为无向边。例如下面这个无向图G,其点集V(G)={1,2,3,5,6},边集为E(G)={(1,2),(2,3),(1,5),(2,6),(5,6)}。(无向边的表达方式,元素的先后对边的表示并不影响,(2,6)与(6,2)相同)

而在有向图中,边连接的两个顶点之间是有序的。箭头的方向就表示有向边的方向。
例如下面这张有向图G':

其点集V(G′)={1,2,3,5,6},边集为E(G′)={(1,2),(2,3),(2,6),(6,5),(1,5)}。对于每条边 (u,v) ,我们称其为从u到v的一条有向边,u是这条有向边的起点,v 是这条有向边的终点。注意在有向图中,(u,v) 和 (v,u) 是不同的两条有向边。(注意有向边的表达方式,前一个元素一定是起点,后一个元素是终点)(有向边与无向边类似于数学中的线段与向量)
三.图的分类(Types)
有很少边或弧(如e< n log n , e 指边数,n指顶点数)的图称为稀疏图,反之称为稠密图。如果图中边集为空,则称该图为零图。如果无向图中任何一对顶点之间都有一条边相连,则这个无向图被称为完全图。类似地,如果有向图中任何一对顶点u,u之间都有两条有向边(u, v),(v, u)相连,则称这个有向图为有向完全图。对于一个图,如果以任意一个点为起点,在图上沿着边走都可以到达其他所有点(有向图必须沿有向边的方向),那么这个图就是连通图。显然完全图一定是连通图。
四.图的基本属性和度量(Properties and Measures)
1.节点(Node)
- 度(Degree):与节点 Vi 连接的节点数量。
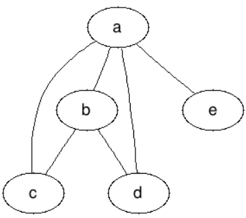
在无向图中,顶点的度是指某个顶点连出的边数。例如在下图中,顶点 b 的度数为3,顶点 a 的度数为4。

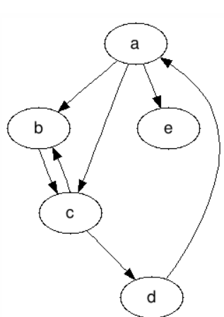
在有向图中,和度对应的是入度和出度这两个概念。顶点的入度是指以该顶点为终点的有向边数量;顶点的出度是指以顶点为起点的有向边数量。需要注意的是,在有向图里,顶点是没有度的概念的。例如在下图中,顶点 a 的入度为1,出度为3;顶点 c 的入度为2,出度为2。

度的性质:
在无向图或有向图中,顶点的度数总和为边数的两倍,而在有向图中,有一个很明显的性质就是,入度等于出度。
- 邻居(Neighbors):与节点 Vi 连接的节点集合。
- 中心性(Centrality):度量节点的重要性,有度中心性、特征向量中心性、Katz中心性、中介中心性。
2.节点对(Pairwise Nodes)
- 行走(Walk):开始于节点 u,结束于节点 v 的所有可能的序列(Node-Edge-...-Node)。
- 足迹(Trial):没有重复边的行走。
- 路径(Path):没有重复节点的行走。
- 测地路径(geodesic path)是指两个节点之间的最短路径。
- 最短路径(Shortest Path):两节点间长度最短的路径,可能会超过一条。
3.图(Graph)
- n阶邻接矩阵:矩阵 An 的 元素 Ai,j 等于长度为n的 vi - vj 行走的数量。 (下面详细介绍,较为重要)
- 子图(Subgraph):由图中部分节点以及这些节点间的边组成的图。
- 连通分量(Connected Component):各节点间至少存在一条边可以连通。
- 连通图(Connected Graph):只包含一个连通分量,即其自身,那么该图是一个连通图。
- 直径(Diameter):各节点之间的最短路径长度中的最大值。
五.图的邻接矩阵(Adjacency Matrix)
所谓邻接矩阵存储结构就每个顶点用一个一维数组存储边的信息,这样所有点合起来就是用矩阵表示图中各顶点之间的邻接关系。所谓矩阵其实就是二维数组。对于有n个顶点的图 G=(V,E) 来说,我们可以用一个 n×n 的矩阵 A 来表示 G 中各顶点的相邻关系,如果 vi 和 vj之间存在边(或弧),则 A[i][j]=1 ,否则 A[i][j]=0 。下图为有向图 G1 和无向图 G2 对应的邻接矩阵:

(需要注意的是,有向图与无向图的矩阵不同,对于无向图,当vi、vj之间由边,则a[i][j]=a[j][i]=1,但是有向图,若i指向j,只有a[i][j]=1,a[j][i]=0)
一个图的邻接矩阵是唯一的,矩阵的大小只与顶点个数N有关,是一个 N×N 的矩阵。前面我们已经介绍过,在无向图里,如果顶点 vi 和 vj 之间有边,则可认为顶点 vi 到 vj 有边,顶点 vj 到 vi 也有边。对应到邻接矩阵里,则有 A[i][j]=A[j][i]=1 。因此我们可以发现,无向图的邻接矩阵是一个对称矩阵。
在邻接矩阵上,我们可以直观地看出两个顶点之间是否有边(或弧),并且很容易求出每个顶点的度,入度和出度。
这里我们以 G1 为例,演示下如何利用邻接矩阵计算顶点的入度和出度。顶点的出度,即为邻接矩阵上点对应行上所有值的总和,比如顶点1出度即为0+1+1+1=3;而每个点的入度即为点对应列上所有值的总和,比如顶点3对应的入度即为1+0+0+1=2。

接下来我们就先一起学习构造和使用邻接矩阵的方法。邻接矩阵是一个由1和0构成的矩阵。处于第 i 行、第 j 列上的元素1和0分别代表顶点i到j之间存在或不存在一条又向边。
显然在构造邻接矩阵的时候,我们需要实现一个整型的二维数组。由于当前的图还是空的,因此我们还要把这个二维数组中的每个元素都初始化为0。
在构造好了一个图的结构后,我们需要把图中各边的情况对应在邻接矩阵上。实际上,这一步的实现非常简单,当从顶点x到y存在边时,我们只要把二维数组对应的位置置为1就好了。

用邻接矩阵来构建图需要如下几步,我们可以用二维数组G来表示一个图
初始化
初始化的过程很简单,只需要把数组初始化为0即可。可以借助memset来快速地将一个数组中的所有元素都初始化为0。(其实定义成全局变量就行了……)
memset(G, 0, sizeof(G));
注意,memset只能用来初始化0和 -1,并且需要加上头文件cstring。
上面的代码等价于:
for (int i = 0; i < N1; i++) { // N1 为数组第一维大小
for (int j = 0; j < N2; j++) { // N2 为数组第二维大小
G[i][j] = 0;
}
}
当然我们平常使用邻接矩阵的时候下标只用 1 到 n 或者 0 到n−1 (这个看题目中点的编号)。
插入边
如果插入一条无向边 (u,v) ,只需要
G[u][v] = 1;
G[v][u] = 1;(由于无向边的特殊性,其必然是对称矩阵)
也可以写成G[u][v] = G[v][u] = 1;。
如果插入一条有向边 (u,v) ,只需要G[u][v] = 1;。
访问边
如果G[u][v] = 1,说明有一条从 u 到 v 的边,否则没有从 u 到 v 的边。
邻接矩阵的使用
#include <iostream>
using namespace std;
const int maxn = 105;
int G[maxn][maxn];
int main() {
int n, m;
cin >> n >> m;
for (int i = 0; i < m; i++) {
int u, v;
cin >> u >> v;
G[u][v] = G[v][u] = 1;
}
for (int i = 1; i <= n; i++) {
for (int j = 1; j <= n; j++) {
cout << G[i][j] << " ";
}
cout << endl;
}
return 0;
}
当点数较多(多于 5000)时,使用邻接矩阵会超出空间限制,需要使用邻接表。
六.邻接表
邻接表的思想是,对于图中的每一个顶点,用一个数组来记录这个点和哪些点相连。由于相邻的点会动态的添加,所以对于每个点,我们需要用vector来记录。
也就是对于每个点,我们都用一个vector来记录这个点和哪些点相连。比如对于一张有 10 个点的图,vector<int> G[11]就可以用来记录这张图了。对于一条从 a 到 b 的有向边,我们通过G[a].push_back(b)就可以把这条边添加进去;如果是无向边,则需要在G[a].push_back(b)的同时G[b].push_back(a)。(几乎所有地方都要注意有向与无向)

邻接表的优缺点
优点
- 节省空间:当图的顶点数很多、但是边的数量很少时,如果用邻接矩阵,我们就需要开一个很大的二维数组,最后我们需要存储 n*n 个数。但是用邻接表,最后我们存储的数据量只是边数的两倍。
- 可以记录重复边:如果两个点之间有多条边,用邻接矩阵只能记录一条,但是用邻接表就能记录多条。虽然重复的边看起来是多余的,但在很多时候对解题来说是必要的。
缺点
当然,有优点就有缺点,用邻接表存图的最大缺点就是随机访问效率低。比如,我们需要询问点 a 是否和点 b 连,我们就要遍历G[a],检查这个vector里是否有 b 。而在邻接矩阵中,只需要根据G[a][b]就能判断。
因此,我们需要对不同的应用情景选择不同的存图方法。如果是稀疏图(顶点很多、边很少),一般用邻接表;如果是稠密图(顶点很少、边很多),一般用邻接矩阵。
邻接表的实现
#include <iostream>
#include <vector>
using namespace std;
const int maxn = 105;
vector<int> G[maxn];
int main() {
int n, m;
cin >> n >> m;
for (int i = 0; i < m; i++) {
int u, v;
cin >> u >> v;
G[u].push_back(v);
G[v].push_back(u);
}
for (int i = 1; i <= n; i++) {
cout << i << " : ";
for (int j = 0; j < G[i].size(); j++) {
cout << G[i][j] << " ";
}
cout << endl;
}
return 0;
}
七、图的存储(带权值)
经过上面的介绍,暂且将图的存储分别使用邻接矩阵与邻接表实现。
1.邻接矩阵
在前面,图中的边都只是用来表示两个点之间是否存在关系,而没有体现出两个点之间关系的强弱。比如在社交网络中,不能单纯地用0、1来表示两个人否为朋友。当两个人是朋友时,有可能是很好的朋友,也有可能是一般的朋友,还有可能是不熟悉的朋友。
我们用一个数值来表示两个人之间的朋友关系强弱,两个人的朋友关系越强,对应的值就越大。而这个值就是两个人在图中对应的边的权值,简称边权。对应的图我们称之为带权图。
如下就是一个带权图,我们把每条边对应的边权标记在边上:


带权图也分成带权有向图和带权无向图。前面学到的关于图的性质在带权图上同样成立。实际上,我们前面学习的图是一种特殊带权图,只不过图中所有边的权值只有1一种;而在带权图中,边的权值可以是任意的。
用邻接矩阵存储带权图和之前的方法一样,用G[a][b]来表示 a 和 b 之间的边权(我们需要用一个数值来表示边不存在,如0)。同样,对于无向图,这个矩阵依然是对称的。

带权图的邻接矩阵
#include <iostream>
#include <cstring>
using namespace std;
const int maxn = 105;
int G[maxn][maxn];
int sum[maxn];
int main() {
int n, m;
cin >> n >> m;
for (int i = 0; i < m; i++) {
int u, v, w;
cin >> u >> v >> w;
G[u][v] = w;
}
for (int i = 1; i <= n; i++) {
for (int j = 1; j <= n; j++) {
cout << G[i][j] << " ";
}
cout << endl;
}
for (int i = 1; i <= n; i++) {
for (int j = 1; j <= n; j++) {
sum[i] += G[i][j];
}
}
for (int i = 1; i <= n; i++) {
cout << sum[i] << " ";
}
return 0;
}
2.邻接表
用邻接表存储带权图和之前的实现方式略有区别,我们需要用一个结构体来记录一条边连接的点和这条边的边权,然后用一个vector来存储若干个结构体,实际上就是把一个点所连接的点以及这条边的边权"打包"起来放到邻接表中。
结构体的定义举例如下:
struct node {
int v; // 用来记录连接的点
int w; // 用来记录这条边的边权
};
我们通常把有向图中加入一条边写成一个函数,例如加入一条有向边 (u,v) 、边权为 w ,就可以用如下的函数来实现(我们需要把图定义成全局变量)。
vector<node> G[105];
// 插入有向边
void insert(int u, int v, int w) {
node temp;
temp.v = v;
temp.w = w;
G[u].push_back(temp);
}
而插入一条无向边,实际上相当于插入两条方向相反的有向边:
// 插入无向边
void insert2(int u, int v, int w) {
insert(u, v, w);
insert(v, u, w);
}
带权图邻接表的实现
#include <iostream>
#include <vector>
using namespace std;
const int maxn = 105;
struct node {
int v;
int w;
};
vector<node> G[maxn];
void insert(int u, int v, int w) {
node temp;
temp.v = v;
temp.w = w;
G[u].push_back(temp);
}
int main() {
int n, m;
cin >> n >> m;
for (int i = 0; i < m; i++) {
int u, v, w;
cin >> u >> v >> w;
insert(u, v, w);
}
for (int i = 1; i <= n; i++) {
for (int j = 0; j < G[i].size(); j++) {
cout << i << " " << G[i][j].v << " " << G[i][j].w << endl;
}
}
return 0;
}
一般还有第三种存储方式:
存储为边列表:
1 2
1 3
1 4
2 3
3 4
...
我们存储有边连接的每一对节点的 ID。
图可能包含一些扩展:包括节点/边上加标签、加上与节点/边相关的特征向量
八.高级的图结构
以上介绍的是简单图结构及其属性,但是真实世界中的图要更加复杂。
异质图(Heterogeneous Graphs)
图中的每个节点和边都有多种类型,如下图所示:

二部图(Bipartite Graphs)
节点分为两类,只有不同类的节点之间存在边。比如,消费者和商品的购买关系。
多维图(Multi-dimensional graph)
节点之间可以同时存在多种类型的关系,需要使用多个邻接矩阵表示。比如消费者和商品之间的点击、购买和评论等关系。
符号图(signed Graphs)
节点之间同时存在正向和负向的边。比如社交网络中,关注某个人和屏蔽某个人是相对的(+1,-1),暂时未有过交互的为0。

超图(Hypergraphs)
每一条边可以包含两个以上的节点所构成的图。比如一篇论文可能有两个以上的作者产生关系。

动态图(Dynamic Graphs)
考虑节点和边随时间的变化的图。


版权声明:本文内容由互联网用户自发贡献,该文观点仅代表作者本人。本站仅提供信息存储空间服务,不拥有所有权,不承担相关法律责任。如发现本站有涉嫌侵权/违法违规的内容,请联系我们,一经查实,本站将立刻删除。
如需转载请保留出处:https://51itzy.com/kjqy/22965.html