写在前面:由于在读论文时看到了LGP算法,在网上没有找到相关原理解释,所以写篇博客记录一下,方便有需要的同学学习。
LGP (Local Gradient Patterns)特征匹配算法的原理
参考文献及文章主旨
文献来源:Research on real – time tracking of table tennis ball based on machine learning with low-speed camera
文章本意是提出了一种基于机器学习的低速摄像机实时跟踪乒乓球的新方法。通过图像分割和匹配相结合的方法从复杂的图像中快速识别出乒乓球,然后利用感兴趣区域预测提高视频中实时跟踪的效率,主要是使用了VOCUS系统分割图像,并基于三通道标记三个显著区域,使用LGP+adaboost对这些区域的图像进行匹配,三个区域中和球的颜色最近的区域被视为目标,然后通过移动ROI区域算法,在实时视频跟踪中大大缩短了识别时间。
图像梯度计算
我之前也有过很大的一个困惑,知道梯度下降法的原理,就以为求图像中的每个像素的梯度也是用梯度下降法。其实并不是这样的,梯度下降法简单来说是一种寻找目标函数最小化的方法,但是求图像中每个像素的梯度主要是找这个像素和周围像素之间的变化关系,看是否有突变的边缘出现,一般是用来做边缘检测。所以,在说LGP之前,很有必要提一下图像梯度计算的方法,边缘检测中一般都会使用到图像的梯度。
图像梯度概念
图像梯度是指图像某像素在x和y两个方向上的变化率(与相邻像素比较),是一个二维向量,由2个分量组成X轴的变化、Y轴的变化。
其中:
X轴的变化是指当前像素右侧(X加1)的像素值减去当前像素左侧(X减1)的像素值。
Y轴的变化是当前像素下方(Y加1)的像素值减去当前像素上方(Y减1)的像素值。
计算出来这2个分量,形成一个二维向量,就得到了该像素的图像梯度。取反正切arctan,可得到梯度角度。
图像梯度求解
求图像梯度的过程可以通过一个卷积核来实现:[-1,0,1]
其原理为:

讯享网

图像梯度的绝对值为:

图像梯度的角度为:

LGP (Local Gradient Patterns)特征匹配算法原理
LGP是一种基于图像局部梯度的特征提取方法,广泛应用于图像识别的预处理。通常,每个像素的局部梯度是根据除边缘像素外具有一定尺度的像素块计算的。对于灰度图像矩阵,对于每个 3×3 的子矩阵(记为矩阵 A),中心点的像素值用 Ic 表示,周围点的像素值用 In,n 表示= 0, . . . , 7,从左上角按顺时针方向定义。每个周围点的梯度定义如式1:

3×3子矩阵的平均梯度定义为式2:

对于图像的每个点(xc, yc),其LGP值表示如下式3:

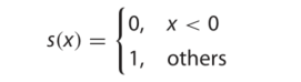
条件分类函数s(x)为式4:

实际计算流程例子如下图:

LGP 操作将原始矩阵 A 转换为具有转换值的替换矩阵 A(由式3得出)
根据上面提到的方法,将训练数据集中每幅图像的每个像素值转换为 LGP 值。
总结
LGP的计算过程很有趣,通过使被计算像素与其周围八像素进行简单的加减求绝对值运算,然后取这周围八像素的平均值,用一个条件分类函数对这些像素进行分类。最重要的一步是:将分类后的周围八像素平铺成为一串八位的二进制数,然后将这串二进制数转化为十进制即可。
版权声明:本文内容由互联网用户自发贡献,该文观点仅代表作者本人。本站仅提供信息存储空间服务,不拥有所有权,不承担相关法律责任。如发现本站有涉嫌侵权/违法违规的内容,请联系我们,一经查实,本站将立刻删除。
如需转载请保留出处:https://51itzy.com/kjqy/20915.html