
他山之石,可以攻玉,教有教法,教无定法。
针对教学难点,阳光备课将根据网友的推荐,精选部分优秀教学设计分享给大家,所选素材均来自权威媒体,由阳光备课整合,仅供各位老师学习和研究,各部分版权归原作者原出版者所有。
▍来源:网络
推荐:
1.新教材 | 人教A版高中数学·必修·第一册全套·课文·教材分析·教案·课件
2.新教材 | 人教A版高中数学·必修·第二册全套·课文·教材分析·教案·课件
3.新教材 | 人教A版高中数学·选择性必修·第一册全套·课文·教材分析·教案·课件
4.新教材 | 人教A版高中数学·选择性必修·第二册全套·课文·教材分析·教案·课件
5.新教材 | 人教A版高中数学·选择性必修·第三册全套·课文·教材分析·教案·课件
6.数学教师必备 | 手机版《高中数学教学手册(2019新教材版)》 每一课时的课文·教材分析·教案·课件都有了,请收藏,以便随时查阅。
7.数学教师必备 | 手机版《高中数学教学手册(旧版)》
8.手把手教你做中小学课题~超详细,有范例


教材导读:
情境:(表格)数据
图像
(有规律的)数据(增长率)
(用代数式表达的)指数函数。
教学设计一
教学目标1:了解指数函数的实际背景,经历借助信息技术手段研究旅游人次变化和碳14衰减变化的过程,进一步体会指数函数概念的抽象过程,发展学生的数学抽象和数学建模素养.
教学目标2:掌握指数函数的概念,经历用指数函数概念解决简单数学问题和实际问题的过程,提升学生的数学运算、逻辑推理、数学建模素养.
教学目标3:了解增长率、衰减率的概念,进一步理解指数增长或指数衰减的概念.
由不同情境通过数量和数量关系抽象出指数函数概念,并用数学语言予以表征,是这节课的教学重点,也是教学难点. 以数学运算为抓手,运用数形结合思想,引导学生利用信息技术手段分析,进而突破难点. 在抽象出指数函数的概念后,利用它处理实际问题是本节课的第二个教学重点和难点,应该充分运用数学运算和数形结合的思想方法,并通过信息技术的直观操作来化解.
情境1:随着中国经济高速增长,人民生活水平不断提高,旅游成了越来越多家庭的重要生活方式.由于旅游人数不断增加,A,B两地景区自2001年起采取了不同的应对措施,A地提高了门票价格,而B地则取消了景区门票. 表1给出了A,B两地景区2001年至2015年的游客人次.
表1

问题1:比较两地景区游客人数的变化,你发现了怎样的变化规律?
学生直观感知:两地游客人数逐年增加,但A地增加相对缓慢,B地增加要快.
【设计意图】让学生直观感知数据的变化情况.
问题2:能用数学方法描述这种变化规律吗?
师生通过信息技术手段完成两地景区数据散点图的制作. 在条件具备的情况下可以利用图形计算器完成,也可以利用Excel软件快速绘制. 如图1,基于图形学生可以非常直观地发现A地景区数据散点图趋近于一条直线,B地景区数据散点图趋近于一条曲线.

图1
【设计意图】为了方便观察,可以先根据表格中的数据描点. 这个问题是要引导学生作图,然后通过图象感知变化规律. 这是由数到形的一个过程,旨在培养学生基本的数学思想方法.
问题3:A地景区数据散点图散落在一条直线周围,你能用数量关系解释这一直观现象吗?B地景区数据散点图散落在一条曲线周围,它又应该用什么数量关系进行合理的解释?
A地景区数据散点图散落在一条直线周围,即说明每经过一年,A地增加的旅游人次大致相等,也就是说旅游人次的年增加量大致相等. 而B地景区数据散点图散落在一条曲线周围,也就是说B地景区旅游人次的年增加量与A地景区数据将会出现不同的变化规律.
师生活动:(1)借助信息技术手段快速计算A,B两地景区数据的年增加量(如表2),发现A地景区数据的年增加量大致相等(约为10万次);(2)对于A地景区数据的年增加量大致相等,引导学生用函数解析式表示,并写出经过x年后,A地景区旅游人次y的函数y=10x+600. A地景区数据→差→增加量→一次函数(线性增长).
表2

【设计意图】问题2使学生实现了由数到形的转变,问题3希望学生能用数量解释几何图形的直观现象,即由形到数,再次加强学生数形结合的基本思想.
问题4:由问题3的数据处理我们发现,B地景区数据的增加量不像A地景区数据的增加量那样大致相等,而是越变越大,这仍然是定性刻画. 要定量刻画变化规律,就需要找到与A地景区数据中类似的常数(增加量). 你能找到B地景区数据中这个不变的量吗?
师生活动:做减法可以得到旅游人次的年增加量,做除法可以得出旅游人次的年增长率. 增加量和增长率是刻画事物变化规律的两个非常重要的量.
如表3,对于B地景区数据,从2002年起将每年的旅游人次除以上一年的旅游人次,可以发现

≈1.11. 结果表明B地景区旅游人次的年增长率约为0.11,为常数. 像这样,增长率为常数的变化形式,我们称为指数增长.
表3


B地景区的旅游人次近似于指数增长,你能模仿A地景区数据,写出B地景区旅游人次y与经过的x年之间的函数关系式吗?
y=278×1.11x ()x ≥0 . 这是一个函数,其中指数x是自变量.
【设计意图】引导学生处理原始数据,分析数据,最终找到B地景区数据中的不变量. 这一过程以数学运算为抓手,充分利用信息技术构建出函数模型.

情境2:下川遗址位于沁水县城西70公里的下川乡,是一处旧石器时代晚期文化遗址,1970年发现,分布于中条山主峰历山及其附近的阳城、沁水、垣曲三县毗邻的山岳地带,纵横二三十公里,以沁水县下川地区保存较好,遗存最为丰富,故称为“下川遗址”. 经碳14测定距今2.3万年~ 1.6万年.
【设计意图】通过两个不同的情境促进学生了解中国文化、关心社会问题,结合实际问题渗透爱国主义教育,发挥数学的育人功能,使立德树人的教育理念落在实处.
问题6:当生物死亡后,它机体内原有的碳14含量会按确定的比率衰减(称为衰减率),若衰减率为p,把刚死亡生物体内碳14含量理解为1,你能表示出死亡生物体内碳14含量y与死亡年数x之间的关系吗?

学生活动:当增长率为常数p时,1+p >1,即a >1;当衰减率为常数p时,0 <1-p <1,即0 <a <1. 所以函数模型中的底数a >0 且a ≠1.
指数函数的概念:一般地,函数y=ax(a >0 且a ≠1)叫做指数函数,其中x为自变量,定义域为R.
教师点拨:(1)一次函数可以刻画增加量(减少量)不变的变化规律,指数函数用来刻画增长率(衰减率)不变的变化规律;(2)指数函数图象一定在x轴上方;(3)增长率不变对应的函数单调递增,衰减率不变对应的函数单调递减.
【设计意图】通过抽象过程帮助学生直观感知指数函数的简单性质,为下一课时的教学进行有效铺垫.
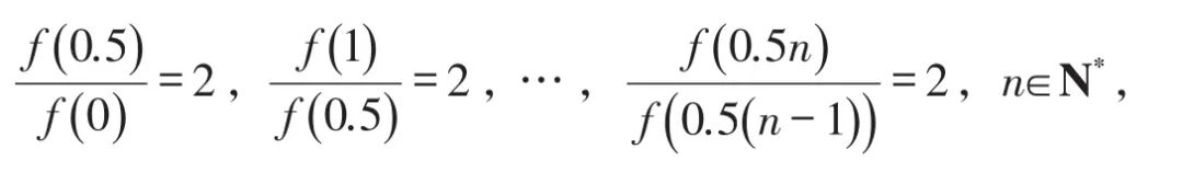
例1 已知指数函数f( x )=ax (a >0 且a ≠1),且f( 3) =π,求f( 0 ),f(1 ),f( -3) 的值.
学生活动:师生合作完成,学生口述解题过程,教师板演.
【设计意图】主要帮助学生处理三个问题:一是让学生熟悉指数函数的解析式和对应关系. 二是让学生学习利用函数解析式列方程求底数a的值. 这里可以引导学生与初中用待定系数法求一次函数和二次函数解析式做类比,也可以和前面情境2中衰减率p的确定做类比. 三是希望通过“学生口述、教师板演”的方法检验学生的掌握情况,同时提高学生答题的规范性.
例2 在情境1中,如果平均每位游客出游一次可以给当地带来1 000元门票之外的收入,A地景区门票价格为150元,比较这15年间A,B两地景区的收入变化情况.

(2)学生借助信息技术手段作出如图2所示的两个函数的图象.

图2
(3)通过图象之间的联系,描述15年间A,B两地景区的收入变化情况.
【设计意图】引入形如y=kax()k ∈R,a >0且a ≠1的刻画指数增长或指数衰减变化规律的函数模型. 当初始量不为1时,一般就用这种函数刻画具有指数增长或指数衰减变化规律的实际问题. 通过函数图象之间的联系描述两地景区的收入变化情况,可以加强学生用数学知识解决实际问题的能力,进而提高学生用数学语言描述实际问题的素养(数学建模素养),并提升学生的数形结合思想.
(1)限时训练(6分钟,根据时间把握训练量).
练习1:下列图象中,有可能表示指数函数的是().

根据时间安排,练习4可以作为课后作业. 限时训练的前三道题目其实是三个维度的练习,其中练习1是图象,练习2是概念,练习3是应用.
(2)课堂小结.
教师引导学生回顾本节课的学习内容,并回答如下问题.
①指数函数的概念是什么?
②指数函数的概念是如何抽象出来的?简单描述抽象过程.
③本节课多次用到数形结合思想,你能否举例说明?
④本节课在处理情境1时,对原始数据进行了简单的处理,从中你学到了什么?
(3)布置作业.
作业1:阅读思考教材第115页的“放射性物质的衰减”.
作业2:教材第118页习题4.2复习巩固第1题和第2题,综合运用第5题、第7题和第8题第(1)小题.
本设计节选自:赵海涌, 高晨霞, 薛红霞. 运算发现规律 抽象建立模型——”指数函数的概念”教学设计,实践与反思[J]. 中国数学教育:高中版, 2022(1):6. 仅提供教学过程,更多内容详见原文。
教学设计二
一、教学目标
(1)通过具体实例,了解指数函数的实际意义,理解指数函数的概念.
(2)结合指数函数概念的形成过程,进一步体会研究具体函数的一般思路和方法,提升数学抽象素养.
二、教学重点与难点
重点:指数函数的概念.
难点:概括指数函数概念的过程.
三、教学过程设计
问题1:
随着中国经济高速增长,人民生活水平不断提高,旅游成了越来越多家庭的重要生活方式.由于旅游人数的不断增加,a,B两地景区自2001年起采取了不同的应对措施,a地提高了景区门票价格,而B地则取消了景区门票.下表是a,B两地景区2001年至2015年的游客人次的逐年增加量.
时间/年 |
a地景区 |
B地景区 |
||
人次/万次 |
年增加量/万次 |
人次/万次 |
年增加量/万次 |
|
2001 |
6 00 |
278 |
||
2002 |
6 09 |
9 |
309 |
31 |
2003 |
6 20 |
11 |
344 |
35 |
2004 |
6 31 |
11 |
383 |
39 |
2005 |
6 41 |
10 |
427 |
44 |
2006 |
6 50 |
9 |
475 |
48 |
2007 |
6 61 |
11 |
528 |
53 |
2008 |
6 71 |
10 |
588 |
60 |
2009 |
6 81 |
10 |
655 |
67 |
2010 |
6 91 |
10 |
729 |
74 |
2011 |
7 02 |
11 |
811 |
82 |
2012 |
7 11 |
9 |
903 |
92 |
2013 |
7 21 |
10 |
1 005 |
102
|
2014 |
7 32 |
11 |
1 118 |
113 |
2015 |
7 43 |
11 |
1 244 |
126 |
比较两地景区游客人次的变化情况,你发现了怎样的变化规律?
追问:(1)能否作出a,B两地景区游客人次变化的图象,根据图象并结合年增加量,说明两地景区游客人次的变化情况?
(2)我们发现,用“增加量”不能刻画B地景区人次的变化规律。能不能换一个量来刻画?例如用“增长率”,即从2002年起,将B地景区每年的游客人次除以上一年的游客人次,看看能否发现什么规律?
(3)能否求出两地景区游客人次随时间(经过的年数)变化的函数解析式,并根据解析式说明两地景区游客人次的变化情况?
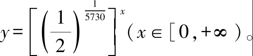
师生活动:教师给出问题,并通过追问引导学生对问题进行分析.首先通过画出图象直观感受a,B两地景区游客增长的情况;为进一步刻画和比较两地游客人次的变化规律,需要通过对相邻两年游客人次进行运算,从而得到B地景区游客人次年增长率为常数,进而将其用函数y=
(x∈[0,+∞)描述.
设计意图:通过刻画a,B两地景区游客人次增加的问题,引出用函数刻画指数增长的问题,为抽象得到指数函数做准备.
问题2:
当生物死亡后,它机体内原有的碳14含量会按确定的衰减比率(简称为衰减率)衰减,大约每经过5730年衰减为原来的一半,这个时间称为“半衰期”.按照上述变化规律,生物体内碳14含量与死亡年数之间有怎样的关系?
追问:(1)能否求出生物体内碳14含量随死亡年数变化的函数解析式?
(2)生物死亡后体内碳14含量每年衰减的比例是多少?
师生活动:教师提出问题,并让学生类比问题1对提出的问题进行思考.通过对问题的分析,引导学生用函数
(x∈[0,+∞))刻画碳14衰减的规律.
设计意图:通过刻画碳14衰减的问题,引出用函数刻画指数衰减的问题,为抽象得到指数函数做准备.
问题3:比较问题1,2中的两个实例:B地景区游客人次增长与碳14衰减,它们所描述的变化规律有什么共同特征?
追问:(1)从游客人次增长和碳14衰减的数据看,它们的变化有什么共同特征?
(2)从游客人次增长和碳14衰减的图象看,它们的变化有什么共同特征?
(3)B地景区游客人次增长的函数解析式y=
与碳14衰减的函数解析式
有什么共同特征?
师生活动:教师引导学生从数据、图象、解析式等角度进行归纳概括,发现刻画问题1中的指数增长和问题2中的指数衰减的函数的共同特征.从解析式上来看,如果用字母a代替底数1.11和
,那么上述函数y=
和
就都可以表示为
的形式,其中指数x是自变量,底数a是一个大于0且不等于1的常量.从而引出指数函数的概念:
一般地,函数y=ax(a>0,且a≠1)叫做指数函数,其中指数x是自变量,定义域是R.
并指出,指数函数中,当x∈N时,函数y=ax(a>1)还可以表示为
,其中p(p>0)表示增长率;函数y=ax(0,其中p(p>0)表示衰减率.因此,指数函数是刻画呈指数增长或指数衰减变化规律的函数模型.
设计意图:通过分析、比较两个实例,概括它们的共同本质特征,从而得到指数函数概念的本质属性,得出指数函数的概念.
例1:已知函数f(x)=ax(a>0,且a≠1),且f(3)=e,求f(0),f(1),f(-3)的值.
师生活动:教师引导学生,要求出f(0),f(1),f(-3)的值,应先求出f(x)=ax的解析式,即先求a的值.而已知f(3)=e,可由此求出a的值.
设计意图:通过求函数解析式,并根据解析式求不同的函数值,从指数函数的对应关系和变化规律的角度理解指数函数的概念.
练习1.下列图象中,有可能表示指数函数的是( ).


设计意图:利用函数的三种表示形式,从不同角度推动学生对指数函数概念的理解,进一步明确概念,学会对指数函数的表示,体会指数增长或衰减.
例2:(1)在问题1中,如果平均每位游客出游一次可给当地带来1000元门票之外的收入,a地景区的门票价格为150元,比较这15年间a,B两地旅游收入变化情况.
(2)在问题2中,某生物死亡后,过了10000年,它体内碳14的含量衰减是原来的百分之几?
设计意图:在引入概念的两个实例基础上,利用指数函数概念进一步解决与两个实例有关的问题,从而巩固概念,进一步理解概念.
练习3.在某个时期,某湖泊中的蓝藻每天以6.25%的增长率呈指数增长,那么经过30天,该湖泊的蓝藻会变为原来的多少倍?(可以使用计算工具)
设计意图:熟悉不同的指数增长的函数模型,并利用指数函数的概念解决实际问题,进一步巩固概念,加强对概念的理解.
第二课时 4.2.2 指数函数的图象和性质
(一)课时教学内容
指数函数的图象和性质。
(二)课时教学目标
(1)能用描点法或借助计算工具画出具体指数函数的图象,探索并理解指数函数的单调性与特殊点.
(2)结合指数函数图象与性质的研究,进一步体会研究具体函数的一般思路和方法,提升直观想象素养.
(三)教学重点与难点
重点:指数函数的图象和性质.
难点:用“增长率”刻画变化规律,指数函数单调性的抽象概括.
(四)教学过程设计
导语:对于具体的函数,我们一般按照“概念——图象——性质”的过程进行研究.前面我们学习了指数函数的概念,接下来就要研究它的图象和性质.回顾以往的研究经验,你能说说我们要研究哪些内容?研究方法是什么?
师生活动:教师引导学生结合幂函数的学习,提出研究指数函数的图象和性质的内容和方法.
设计意图:通过回顾以往研究函数图象和性质的内容和方法,提出研究指数函数的图象和性质的研究内容和研究方法,为接下来的学习建立先行组织者.
问题4:选取a的若干值,画出指数函数y=ax(a>0,且a≠1)的图象。通过观察图象的特征可以得到一些函数的性质。你认为可以从哪些方面进行观察?你能发现函数的哪些性质?
追问:(1)观察这些图象的位置、公共点和变化趋势,它们有哪些共性?由此你能概括出指数函数y=ax(a>0,且a≠1)的定义域、值域和单调性吗?
(2)当a>1时,指数函数y=ax的图象位置、公共点、变化趋势、定义域、值域和单调性如何?当0<a<1时,指数函数y=ax的情况又如何呢?
(3)比较a>1与0<a<1指数函数y=ax的图象和性质,看它们有什么区别与联系?
(4)将探索的结果填入下表:
0<a<1 |
a>1 |
|
图 象 |
||
定义域 |
||
值 域 |
||
性 质 |
||
师生活动:教师提出问题,引导学生根据图象进行探索、思考,逐步抽象出指数函数的图象特征和性质.在画图的过程中,可以从描点作图开始.在描点画图列函数对应值表的过程中,可以使用计算工具.在此基础上,为了画出更多的函数的图象,帮助进行观察、归纳,可以利用信息技术工具.由此逐渐引导学生对指数函数进行分类,得它的单调性和特殊点的规律.
设计意图:通过画图,比较不同指数函数的图象,归纳它们的共同特征,并数形结合地抽象出指数函数的性质.
例3 比较下列各题中两个值的大小:

师生活动:教师引导学生将每一组中的两个值可以看作一个指数函数的两个函数值,从而利用指数函数的单调性进行比较.对于(1)(2),可以直接利用指数函数的单调性比较;对于(3),
和
不能看作某一个指数函数的两个函数值.可以利用函数
和
的单调性,以及“x=0时,y=1”这条性质把它们联系起来.
设计意图:通过应用函数的单调性比较大小,进一步理解指数函数的单调性.
练习4.比较下列各题中两个值的大小:

设计意图:通过对例题3的变式,促进学生对指数函数单调性的理解.
例4 如图1,某城市人口呈指数增长.
(1)根据图象,估计该城市人口每翻一番所需的时间(倍增期);
(2)该城市人口从80万开始,经过20年,人口会增长到多少?

师生活动:教师引导学生对问题进行分析,根据该城市人口呈指数增长,而同一指数函数的倍增期是相同的,所以可以从图象中选取适当的点计算倍增期.要计算20年后的人口数,关键是要找到20年与倍增期的数量关系,由于倍增期是20年,因此容易得到“从80万人开始,20年后人口大约会增长到160万人”.
设计意图:通过应用函数图象解决问题,进一步认识指数函数的图象,并由图象理解指数函数的概念和性质.
练习5:在同一平面直角坐标系中画出函数
和
的图象,并说明它们的关系.
练习6:体内癌细胞初期增加很缓慢,但到了晚期就急剧增加.试画出能大致反映体内癌细胞数量随时间变化的草图.
设计意图:通过比较底数互为倒数的指数函数图象,并应用图象描述实际问题的变化规律,进一步认识指数函数的图象,理解指数函数的概念和性质.
课堂小结
教师引导学生回顾本单元学习的主要内容,并回答下列问题:
(1)写出一个指数函数的解析式,说明底数、增长比例和初始量的值,画出该函数的草图,并说明其单调性.
(2)通过本单元的学习,你对研究函数的内容和方法有什么更进一步的认识?对比以前学习过的一些具体函数,你能建立指数函数和它们的联系吗,请你结合下表谈谈体会.
指数函数 |
一次函数 |
二次函数 |
反比例函数 |
幂函数 |
|
解析式 |
|||||
定义域 |
|||||
值 域 |
|||||
图 象 |
|||||
性 质 |
设计意图:结合问题(1),教师与学生一起回顾本单元学习的指数函数的概念、图象和性质;结合问题(2),建立指数函数与学习过的其他函数的联系,并进一步体会研究具体函数的内容、过程和方法.
布置作业
根据课堂教学情况,从教科书习题4.2中选择合适的题目.
六、目标检测设计
1.设指数函数y=f(x)的底数为a,如果f(2)=40,f(3)=80,那么a=__, f(4)=___ .
设计意图:考查学生对指数函数概念的理解.
2.函数
的图象经过点(0,2)和(1,1).
(1)求该函数的解析式,并作出图象;
(2)判断该函数的单调性.
设计意图:考查学生对指数函数的图象和性质的掌握.
本设计节选自:https://www.pep.com.cn/gzsx/xrjbgzsx/xrjgzwd/201911/t20191128_1947622.html 仅提供教学过程,更多内容详见原文。
教学设计三
教学实践流程:
问题1 随着中国经济高速增长,人民生活水平不断提高,旅游成了越来越多家庭的重要生活方式。由于旅游人数不断增加,A,B两地景区自2001年起采取了不同的应对措施,A地提高了景区门票价格,而B地则取消了景区门票。
比较两地景区游客人次的变化情况,你发现了怎样的变化规律?
为了有利于观察规律,分别画出A,B两地景区采取不同措施后的15年游客人次的图象(图1和图2):

图1

图2
观察图象,可以发现,A地景区的游客人次近似于直线上升(线性增长),年增加量大致相等(约10万次);B地景区的游客人次则是非线性增长,年增加量越来越大,但是从图象和年增加量都难看出变化规律。
探究:我们知道,年增加量是对相邻两年的游客人次做减法得到的。能否通过对B地景区每年的游客人次做其他运算发现游客人次的变化规律呢?
从2002年起,将B地景区每年的游客人次除以上一年的游客人次,可以得到:

……

结果表明,B地景区的游客人次的年增长率都约为1.11-1=0.11,是一个常数。
像这样,增长率为常数的变化方式,我们称为指数增长。因此,B地景区的游客人次近似于指数增长。
显然,从2001年开始,B地景区游客人次的变化规律可以近似描述为:
1年后,游客人次是2001年的1.111倍;
2年后,游客人次是2001年的1.112倍;
2年后,游客人次是2001年的1.113倍;
……
x年后,游客人次是2001年的1.11x倍。
如果设x年后的游客人次为2001年的y倍,那么y=1.11x(x∈[0,+∞)。这是一个函数,其中x是自变量。
设计意图:以上是一个旅游经济的问题,属于增长问题,学生通过解决实际问题,引出新的函数,体会数学是有用的,产生学习研究的兴趣。
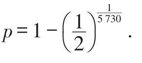
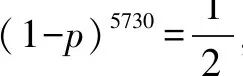
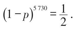
问题2 当生物死亡后,它机体内原有的碳14含量会按确定的比率衰减(称为衰减率),大约每经过5730年衰减为原来的一半,这个时间称为“半衰期”。按照上述变化规律,生物体内碳14含量与死亡年数之间有怎样的关系?
设死亡生物体内碳14含量的年衰减率为p,如果把刚死亡的生物体内碳14含量看成1个单位,那么
死亡1年后,生物体内碳14含量为(1-p)1;
死亡2年后,生物体内碳14含量为(1-p)2;
死亡3年后,生物体内碳14含量为(1-p)3;
……
死亡5730年后,生物体内碳14含量为(1-p)5730。
根据已知条件,

从而算出

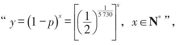
设生物死亡年数为x,死亡生物体内碳14含量为y,那么y=(1-p)x,即

这也是一个函数,指数x是自变量。
设计意图:以上是碳14衰减的问题,生物体内的碳14含量随时间呈连续的指数衰减变化,这是一个经典的指数函数实例,有利于指数函数概念的理解。
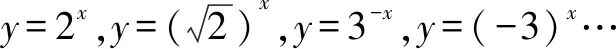
问题1 在前面我们得到了这样几个关系式:

这几个关系式能否构成x和y之间的函数关系呢?
生答:可以,因为对每一个确定的x,都有唯一确定的y与之对应。
问题2 类似这样的函数,你能再举几个例子吗?这些函数有什么共同特征?能否用一般形式表示?
设计意图:启发和引导学生思考这类食物的本质属性是什么,让学生产生研究这一组新对象的兴趣,主动发现新问题。
生答:(举例)

共同特征:都是指数形式,自变量在指数位置,底数是常数。
一般形式:y=ax
注意:对于函数y=3-x,教师引导学生对它的研究只需要研究y=3t,也可以将y=3-x转化为

依然得到自变量在指数位置这一本质特征。
问题3 形如y=ax(x∈R)的函数就是本节要学习的指数函数,自变量是x,底数a是常数。以上例子的不同之处,是底数不同。那么你觉得底数能取哪些值?底数的允许范围是什么?

设计意图:引导学生分析函数的定义域,进而讨论底数的允许值范围。
生答:底数不能取负数,如果底数取负数或0,x就不能取任意实数了。
师补充:为了研究的方便,我们要求底数a>0。另外,引导学生发现,当a=1时,函数就是常函数y=1,对于这个函数我们已经比较了解了,通常我们还规定a≠1。
通过讨论,得到体现自变量在指数位置这一本质特征的最基本、最简洁、最合理的形式:y=ax(a>0且a≠1),从而完成对指数函数概念的建构。
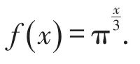
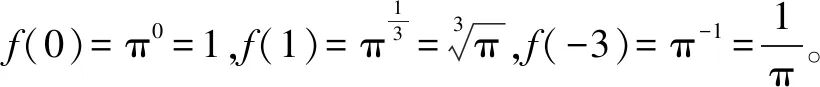
例1 已知函数f(x)=ax(a>0,且a≠1),且f(3)=π,求f(0),f(1),f(-3)的值。
解析:因为f(x)=ax,且f(3)=π,则a3=π,解得
于是
所以,

设计意图:不仅可以让学生熟悉指数函数的解析式和对应关系,还可以让学生学习利用函数解析式列方程求底数a的值。

例2 在问题1中,如果平均每位游客出游一次可以给当地带来1000元门票之外的收入,A地景区的门票价格为150元,比较这15年间A,B两地旅游收入变化情况。
解析:设经过x年,游客给A,B两地带来的收入分别为f(x)和g(x),则
f(x)=1150×(10x+600),
g(x)=1000×278×1.11x。
利用计算工具可得,
当x=0时,f(0)-g(0)=。
当x≈10.22时,f(10.22)≈g(10.22)。
结合4.2-3可知:
当x<10.22时,f(x)>g(x),
当x>10.22时,f(x)<g(x)。
当x=14时,g(14)-f(14)≈。
这说明,在2001年,游客给A地带来的收入比B地多万元;随后10年,虽然f(x)>g(x),但g(x)的增长速度大于f(x);根据上述数据并考虑实际情况,在2011年2月某个时刻就有f(x)=g(x),这时游客给A地带来的收入和B地差不多;此后,f(x)<g(x),游客给B地带来的收入超过了A地;由于g(x)增长得越来越快,在2015年,B地的收入已经比A地多万元了。
设计意图:通过利用指数函数概念来解决问题,让学生进一步了解指数函数的实际意义,并理解指数函数的概念。同时引出形如y=kax(k≠0,a>0,且a≠1)的刻画指数增长或指数衰减变化规律的函数模型。
本设计节选自:考试周刊》 2021年第18期 P73-74页 作者 厦门双十中学漳州校区朱晴晴。仅提供教学过程,更多内容详见原文。
教学设计四
教学内容是“指数函数的概念”(第1课时).
引例:给你一张报纸,假设纸张能够无限折叠且不破损,试估计这张报纸对折10次后的厚度.
提问1:如何测量一张纸的厚度?对折30次呢?对折50次呢?
师生活动:教师示范折叠报纸,引导学生分析、思考.利用教科书厚约1.5 cm,估计出纸张厚度约为0.01 cm;而210=1 024≈103,报纸对折10次约0.1 m厚;对折30次,约105m厚,大概11个珠穆朗玛峰(约8 844 m)的高度;对折50次,约1011m,可以往返地球和月球(地球与月球之间的距离约3.8×108m)超过120趟.
借助计算器,得10-4×230=107 374.182 4m,10-4×250=112 589 990 684.262 4 m,能往返148趟.
揭示课题:假设纸张初始厚度为1,对折x次后的厚度y满足y=2x,x∈N.
【设计意图】通过追问,促使学生思考,感受倍增的威力,为抽象出指数函数的概念提供基本活动经验.指数函数以爆炸式增长样态广为人知,其中2的幂次增长最为典型;当自变量增加1时,函数值可以实现倍增.教学活动中的数据估计直观震撼,可以促使学生深度思考.
问题1:由于旅游人数不断增加,A,B两地景区自2001年起采取了不同的应对措施.A地提高了景区的门票价格,而B地则取消了景区的门票.表1给出了A,B两地景区2001年至2015年的游客人次以及逐年增加量.比较两地景区游客人次的变化情况,你发现了怎样的变化规律?
表1:A,B两地景区旅游人次变化

解:(1)A,B两地景区人次不断增长.
(2)A地增量保持稳定,每年增加10万人次左右;B地每年增量不断增加,且增长越来越快.
提问2:(1)观察图1和图2,发现游客人次增长有何特征?你有什么想法?

图1

图2
解:B地景区人次成比例增长,可以通过求年增长率来刻画.
(2)利用Excel软件计算增长率,作出折线图,你有何发现?
解:从2002年起,B地人次年增长率约为11%.
结论1:经过x年后,B地景区游客人次为2001年的y倍,则y=1.11x,x∈N,x≤15.
【设计意图】增量研究是研究函数的重要方法.通过观察增量、计算增长率和建立函数模型,能够进一步丰富数学活动经验.利用信息化工具,能够帮助学生从直观感知向一般抽象过渡.
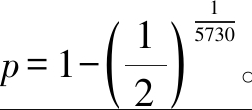
问题2:当生物死亡后,它机体内原有的碳14含量会按确定的比率衰减(称为衰减率),大约每经过5 730年衰减为原来的一半,这个时间称为“半衰期”.按照上述变化规律,生物体内碳14含量与死亡年份之间有怎样的关系?
师生活动:生物体内碳14含量每次减半需经过5 730年.假设碳14含量的年衰减率为p,记刚死亡的生物体内碳14含量为1个单位,那么死亡x年后,碳14含量为(1-p)x.由半衰期为5 730年,知

解得
得碳14含量的年衰减率,即每年碳14含量减少
倍.
结论2:设生物死亡年数为x,死亡生物体内碳14含量为y,则

提问3:观察函数表达式




你发现有何共同特点?当自变量增加1时,函数值增长的倍数有何特点?自变量减少1呢?
解:底数为常数,自变量在指数位置;当自变量增加1时,函数值变成原来的常数倍,记作a,则前面的三个函数解析式可以写成y=ax这种形态;当自变量减少1时,函数值变成原来的
倍,即a-1倍.
【设计意图】通过增长、衰减案例,让学生认识到指数函数的本质:自变量做加减,函数值成比例变化.从数据、表格、图象、解析式等角度概括出指数函数的特征,形成概念.
定义:一般地,函数y=ax(a>0,且a≠1 )叫做指数函数,其中指数x是自变量,定义域是R.
例1 已知指数函数f(x)=ax(a>0,且a≠1 ),且f(3)=π,求f(0),f(1),f(-3)的值.
解:由待定系数法,得
所以f(0)=1,
提问4:想象一下,指数函数的大致图象是什么?
追问:(1)上述指数函数图象中的底数有何特点?
(2)当0<a<1时,图象又有何特点呢?
引导学生思考、自主回答.
师生活动:利用数学语言,建立指数函数形式化定义,师生共同归纳指数函数的特点.通过练习题,引导学生直观感受指数函数的大致图象.
【设计意图】基于数学的形式化定义,引导学生思考指数函数的图象特征,分类研究,明确关键属性.例1利用形式化定义,待定系数求解问题,属于概念组织;提问4是函数图象识别和分类,确认概念的关键属性,将新概念纳入函数概念体系之中.
例2 在问题1中,如果平均每位游客出游一次可以给当地带来1 000元门票之外的收入,A地景区的门票价格为150元,比较这15年间A,B两地旅游收入的变化情况.
师生活动:教师利用Excel软件,计算A,B两地旅游收入,作出折线图,如表2和图3所示,呈现指数增长模型的数据和图象样态.
表2:A,B两地景区旅游收入变化

续表


图3
例3 在问题2中,某生物死亡10 000年后,它体内碳14的含量衰减为原来的百分之几?

师生活动:在自然条件下,细胞的分裂、人口的增长、生物体内碳14的衰减等变化规律,都可以用指数函数研究.设原有量为N,每次的增长率为p,经过x次增长,该量增长到y,则y=N(1+p)x,x∈N.
指数型函数:形如y=kax(k∈R,且k≠0;a>0,且a≠1)的函数.
指数函数的概念:直观/数据形态;数学形态;图象形态;方程特征.
指数型函数:y=kax(k∈R,且k≠0;a>0,且a≠1),满足
为定值.
作业1:求下列函数的定义域.

作业2:一个产品原来的年产量是a件,今后m年内,计划使产量平均每年比上一年增加p%,写出年产量y(单位:件)关于经过的年数x的函数解析式.
作业3:在某个时期,某湖泊中的蓝藻每天以6.25%的增长率呈指数增长,那么经过30天,该湖泊的蓝藻会变为原来的多少倍?(可以使用计算工具.)
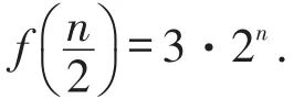
拓展思考:已知函数y=f(x),x∈R,且f(0)=3,

求函数y=f(x)的一个解析式.
解:题目中的等式相乘,得
换元,得f(t)=3·22t=3·4t,扩域得到y=f(x)=3·4x.
师生活动:鼓励学生先猜想后推演,不断尝试接近答案.
【设计意图】该题揭示了指数型函数的本质特征.
利用累乘之后换元,再扩域,得到函数解析式,这是处理函数方程问题经典的柯西方法.
本设计节选自:[1]唐盛彪, 贺航飞. 基于数学本质的概念教学——以指数函数为例[J]. 中国数学教育:高中版, 2020(3):5. 仅提供教学过程,更多内容详见原文。
教学设计五
课程标准:能够在熟悉的实际问题情境中,了解指数函数的实际背景,由具体到一般,抽象概括得出指数函数的概念。
活动1 设置问题情境、数据分析探路:
问题1 (2019人教A版必修第一册P111)比较A、B两地景区2002年-2015年的游客人次的变化情况,你发现了怎样的变化规律?
研究问题的思路:通过实例创设情境,为指数函数的概念教学提供素材,回答了为什么要学习指数函数;接着提出如何研究实际问题的思路:提出问题、分析问题、解决问题;具体可以通过定性研究到定量研究,数据分析到图像分析,研究变量之间的变化规律。
借助Excel列表、画出散点图:


借助信息技术对数据分析,进行数学建模,引导学生经历图表和图像的形成过程,通过图像概括变量间的变化情况,学会用自然语言描述:线性增长,非线性增长。B景区的游客人次近似于指数增长,增长率约为0.11。
活动2 从特殊到一般、数学抽象成型
分析从1年后,2年后,3年后的游客人次,从特殊到一般的思维过程,归纳出经过x年后的游客人次。

归纳得出经过x年后的游客人次函数关系式为:y=278×(1+0.11)x,其中指数x是自变量。
这个环节从问题情境中发现规律,提出猜想,进行探索,从特殊到一般的思维过程,且在运算过程进行详细的分解,最后归纳得一般的结论,符合高一学生思维的最近发展区。布鲁纳指出:学生不是知识的接受者,而是积极的信息加工者。在这一环节中,教师通过引导,培养学生的数学运算能力和归纳推理能力,同时通过分解难点,建立分析问题的模板,提升学生学习数学应用题的信心。
活动3 构建指数函数、深化概念教学
问题2的函数关系研究思路类比问题1的活动2的过程可得生物死亡年数x与死亡生物体内碳14含量y的函数关系:

从特殊到一般的归纳推理,构建形如y=ax的指数函数,其中指数x是自变量,底数a>0且a≠1。
著名教育家夸美纽斯认为:如果不先教明概念,便是教的不好。根据认知心理学,概念辨析是获得概念的必须步骤,通过具体实例进一步理解概念的内涵与外延。因此在这一环节中,对指数函数的概念进行以下几个方面进行深化探究:
1. 函数解析式形式(与幂函数进行对比):

2. 探究底数a>0且a≠1:
若a=1,则y=1x=1,没有研究的家长;若a=0,则当x>0时,0x=0,当x≤0时,y=ax无意义;当a<0时,当x取
时,
没有意义;
当a>0且a≠1时,x可以取任意实数。
3. 概念辨析练习:
给出下列函数:① y=-4x;②y=2x;③y=(-4)x;④y=πx;⑤y=xx,其中为指数函数的有 。
答案:②④
活动4 总结研究思路、提升数学素养
本设计节选自:《考试周刊》 2021年第28期 P71-72页 作者 刘英得 仅提供教学过程,更多内容详见原文。

END

全
文
完

—–全文到此为止。整理不易,如果喜欢,请点下面公众号名片关注“阳光备课”,并转发到朋友圈。
做课题相关范文:
手把手教你做中小学课题~超详细,有范例(含开题报告、中期检查、结题报告范文)
特别推荐一(2019版新教材)(点下列标题进入):
1.新人教A版高中数学必修第一册课后习题解答
2.新人教A版高中数学必修第二册课后习题解答
3.新人教A版高中数学选择性必修第一册课后习题解答
4.新人教A版高中数学选择性必修第二册课后习题解答
5.新人教A版高中数学选择性必修第三册课后习题解答

特别推荐二(点下列标题进入):
1.人教版高中数学·必修1·教材分析·教案·课件·视频
2.人教版高中数学·必修2·教材分析·教案·课件·视频
3.人教版高中数学·必修3·教材分析·教案·课件·视频
4.人教版高中数学·必修4·教材分析·教案·课件·视频
5.人教版高中数学·必修5·教材分析·教案·课件·视频
6.人教版高中数学·选修2-1·教材分析·教案·课件·视频
7.人教版高中数学·选修2-2·教材分析·教案·课件·视频
特别推荐三(点下列标题进入):
免责声明
【内容由网上搜索而来,由阳光备课整合,各部分版权归原作者所有,在此向作者致谢!摘录、转载,是想为经济欠发达地区教师提高业务水平做点事,仅此而已,如有侵权,请联系删除,谢谢!】

点击↓阅读原文↓更多!

版权声明:本文内容由互联网用户自发贡献,该文观点仅代表作者本人。本站仅提供信息存储空间服务,不拥有所有权,不承担相关法律责任。如发现本站有涉嫌侵权/违法违规的内容,请联系我们,一经查实,本站将立刻删除。
如需转载请保留出处:https://51itzy.com/kjqy/204637.html