转载:计量经济学服务中心
计量经济学中,线性回归模型的本意是给定x值,然后预测(或估计)y的条件均值。在给定的x值下,y值可能忽高忽低(即y是随机变量),其变化程度也可大可小(即y有方差),但其条件均值是可以通过回归方法来估计的。至于y的条件方差,在只有一个固定的x值下是无法估计的(在重复测量样本下也许可以做到,因为这时有多个固定相同的x值),所以只好简单地假设对于任何给定的x,y的条件方差都是一样的(即同方差假设),此时才可以通过多个样本点来估计一个相同的方差,然后进行各种t检验、f检验。
通俗一点说,回归的思想就是先抓住x,然后观察y将如何变化。比如说居民收入r与消费c,先抓住1000元收入水平的消费群体,然后看他们将如何消费,c|1000是条件随机变量(当然,实际数据中1000元水平的观测可能只有一个);然后再抓住1500元收入水平的群体,再看他们将如何消费,依次类推。一般来说,随着收入增长,消费的条件均值将同步增长,此时回归关系成立。
但是,令我们苦恼的是,实际中很有可能是“无法抓住x”的,因为x在变,y也在变,然后y的变化又影响到了x,所以我们观测到的结果,很有可能是x与y相互影响的结果;通俗一点说,就是x已经与y纠缠到了一起,你哪里还能辨清哪是x,哪是y?比如说收入与消费,可以说赚得多,花得也多,但钱花完了,又得想办法去多赚点,这时收入与消费是相互影响的,你是无法”按住x”的。因为等你”按住x”了,去观察y,y的变动回过头来又造成了x的变化,你转身一看,坏了,x已经不是原来那个x了,它已经变了!这个相互影响的过程,你是观测不到的,你观测到的只是结果。所以在你观测到实际数据的时候,x已经不是本来的x,x中混杂了y的信息。既然x已经不是本来意义上的x,你又如何去估计它对Y的真实影响?这就是我们通常所说的联立性偏误(simultaneity bias),即x与y是同时变动的。这种情况下,x与回归模型的误差项表现为相关,违背了经典OLS(ordinary least square,普通最小二乘法)的假设。此时,你应该可以知道,你很难估计x对y的真实影响,即在经典回归假设下,估计出的回归系数是有偏的。这是造成内生性 Endogeneity 的情况之一。
还有可能是x在变,其他影响y的因素也在变(因为除了x影响y外,也有其他因素在影响y),但这些因素你没有纳入模型的解释变量中,此时x与回归模型的误差项也表现为相关(因为遗漏因素的影响归入了误差项)。此时,你如何能辨清y的变化,有多少是x造成的,又有多少是“其他因素”造成的?于是估计再次陷入僵局。这种情况的产生,需要两个条件:一是x变化,其他因素也同时变化(x与其他因素相关),二是其他因素要能影响y(即其他因素要与y相关),这是造成内生性的情况之二。
工资和受教育水平同时受到能力的影响,然而,即使我们可以通过其他相关的测试得出能力的代理变量,能力是不可直接观测的变量,这就带来了遗漏变量的内生性问题。又比如,在联立方程中,消费和收入同时受一些宏观因素的影响,这就带来了联立方程偏误。我们可以通过工具变量的方法来解决内生性的问题。
内生性的根源:互为因果、联立性、遗漏变量、测量误差
总的说来,内生性主要由以下原因造成:
1. 遗漏变量:如果遗漏的变量与其他解释变量不相关,一般不会造成问题。否则,就会造成解释变量与残差项相关,从而引起内生性问题。
2. 解释变量与被解释变量相互影响
3. 度量误差 (measurement error):由于关键变量的度量上存在误差,使其与真实值之间存在偏差,这种偏差可能会成为回归误差(regression error)的一部分,从而导致内生性问题。
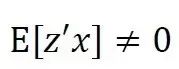
- 解释变量与error term相关。例子:y is earnings, x is years of schooling,u is error term (including ability), z is proximity to college。
- 外生: 解释变量x和error term u独立影响被解释变量y。

- 内生: error u 影响解释变量x,因而间接影响被解释变量y。

- 工具变量:工具变量z与x相关,但与error term u无关。即z能且只能通过x影响y。




Instrumental Variables的原理
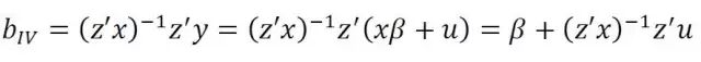
假设一个linear model:y=xβ+μ
内生性问题就是当一个或多个解释变量与error term相关:

OLS的估计系数将会是有偏的(biased):

上述方程可写为:

其中,y1是被解释变量,y2是内生变量,x1是外生变量。X由[y2, x1]组合而成,包含了内生和外生变量。
假设我们可以找到一组外生的变量(工具变量)z=[x1,x2],其中x1是自己的工具变量,x2是y2的工具变量。
The two stage leastsquares (2SLS) 估计过程。
两阶段OLS用工具变量对内生变量的预测值代替了内生变量本身 ,首先,在第一阶段对只包含外生变量的方程进行回归,

其次,产生内生变量的回归预测值,然后用预测值代替内生变量:

- 阶条件:工具变量的数量至少要与内生变量一样多。

- 秩条件:为了求逆,矩阵z’x必须是满秩的。
- 恰好识别的情况:
当每一内生变量各有一个工具变量的时候,我们称这一工具变量模型恰好识别。估计系数是无偏的。

- Under-identified model
- 当内生变量的数量多于工具变量的个数时,我们称这一工具变量模型是Under-identified的。
- 此模型有无数解,所以没有统一的估计值存在
- 过度识别:
当工具变量的个数大于内生变量的个数时,这时这个工具变量模型是过度识别的。此时我们可以得到两种不同的估计值。
- The twostage least squares (2SLS) (当残差项服从独立同分布的时候是最好的估计方法。)

- GMM(广义矩估计:The generalized method of moments)

当w=(z’z)^(-1)时,这与2SLS估计一样。通常有:

其中等式右边是z’μ估计方差,当存在异方差的时候GMM估计更优。
检验
- 内生性的检验:
- 1、Hausman test
豪斯曼检验检验解释变量是内生的还是外生的。
通过对比OLS和IV的结果是否存在显著的差异来判断,如果差别显著,则解释变量为内生,反之亦然。
- 2、Durbin-Wu-Hausman test
TheDurbin-Wu-Hausman test主要检验等式

是否成立。
估计第一阶段方程:

把残差项(μ)放进方程:

如果μ的系数rho显著异于0,则判断变量为内生,反之,则为外生变量。
过度识别限制检验
用GMM方法估计并得到下面检验统计量:

这是一个服从自由度等于过度识别的限制数的卡方分布,原假设为:至少有一个工具变量不是有效的。
- 弱工具变量检验
当一个内生变量和一个工具变量时,这两个变量的弱相关性可以说明这是一个弱工具变量。
当多个工具变量对一个内生变量时,工具变量的强弱可以用第一阶段的F统计量来衡量,一半认为10是安全值阀,大于10安全。
- 弱工具变量的后果
一是会降低估计的精度;另外,IV的估计值是渐进一致、有偏的。偏误的大小与工具变量的弱度正向相关,与样本量的大小反向相关!(可怕啊)
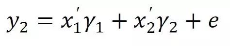
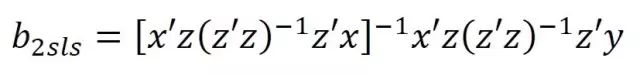
工具变量和联立系统方程
假设有两个内生变量,方程如下:

简化后:

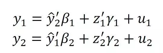
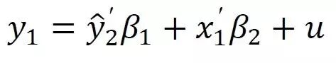
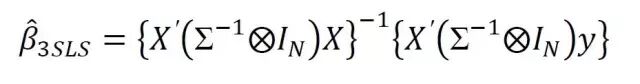
2阶段最小二乘或3阶段最小二乘估计过程:
首先,通过对简化式进行OLS估计得到y的预测值(y帽),然后用y的预测值估计下式:

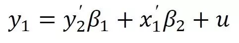
最后,用2阶段最小二乘估计的结果计算下式:

此时的β即为3阶段最小二乘估计结果。
对比2SLS和3SLS的估计性质:3SLS比2SLS更有效。但是3SLS在残差项存在异方差的时候的估计非一致。

版权声明:本文内容由互联网用户自发贡献,该文观点仅代表作者本人。本站仅提供信息存储空间服务,不拥有所有权,不承担相关法律责任。如发现本站有涉嫌侵权/违法违规的内容,请联系我们,一经查实,本站将立刻删除。
如需转载请保留出处:https://51itzy.com/kjqy/199077.html