6.1、脉冲成形
- 什么是基带信号?
信源(信息源,也称发送端)发出的没有经过调制(即进行频谱搬移和变换)的原始电信号,其特点是频率较低,信号频谱从零频附近开始,具有低通形式。根据原始电信号的特征,基带信号可分为数字基带信号和模拟基带信号(相应地,信源也分为数字信源和模拟信源)其由信源决定。 - 基带信号的发送和接收在通信系统模型中的位置示意图
基带信号的发送和接收在通信系统模型中的位置如下图所示。

讯享网
6.1.1、矩形脉冲
- 关于矩形脉冲的说明
最容易想到的脉冲波形就是矩形脉冲。以数字信号00010110为例, 0映射为正脉冲,1映射为负脉冲。发射机中脉冲成形如下图所示。

接收机中采样判决如图所示。

上图中采样时刻的信号电平为正,判决结果为 0;信号电平为负,判决结果为1。
上面的分析有一个前提,那就是:矩形脉冲信号可以无失真地由发送端通过信道传输到接收端。实际上要做到无失真传输是不可能的,因为矩形脉冲信号的频谱带宽是无限的,如下图所示,而信道带宽总是有限的。

上图中的矩形信号的带宽就是无限的,带宽无限的信号通过带宽有限的信道进行传输时会发生失真,严重时可能导致采样判决出错,无法正确恢复出数字信号,如下图所示。

上图中的第五位的0就被错误的当成了1。从上面的分析可以看出脉冲成形使用矩形脉冲信号是不合适的,那使用什么样的脉冲信号更合适呢?答案是:sinc脉冲信号。
6.1.2、sinc脉冲
- 关于sinc脉冲信号的说明。
使用sinc脉冲信号可以做到一举两得:
首先sinc信号的频谱带宽是有限的,如下图所示。

对于上图这种带宽有限的信号来说经过带宽有限的信道进行传输时不会出现失真。
其次就是,一个码元达到最大幅值时其他所有码元幅值刚好为零,码元之间不会相互影响,实现了**间串扰。
举个例子:还是以数字信号00010110为例,0映射为正脉冲,1映射为负脉冲。发射机中脉冲成形如下图所示。

接收机中采样判决如下图所示。

6.2、基带滤波器
6.2.1、理想低通滤波器
- 关于理想低通滤波器的简要概述。
以脉冲波形采用sinc波形为例。
只要将单位冲激信号输入理想低通滤波器,即可得到sinc脉冲信号,具体的模型如下图所示。

如果理想低通滤波器带宽为B,则输出的sinc脉冲信号如下图所示。

只要sinc脉冲信号发送间隔取1/(2B),也就是码元传输速率 RB=2B,就可以实现**间串扰。
6.2.2、升余弦滚降滤波器
- 关于升余弦滚降滤波器的简述
理想低通滤波器的缺点:采用理想低通滤波器对单位冲激信号进行滤波得到的sinc脉冲信号,拖尾振荡幅度比较大、衰减速度比较慢,当定时出现偏差时,码间串扰会比较大。
考虑到实际的系统总是存在一定的定时误差,所以脉冲成形一般不采用理想低通滤波器,而是采用升余弦滚降滤波器,这种滤波器拖尾振幅小、衰减快,对于减小码间串扰和降低对定时的要求都有利。
升余弦滚降滤波器的频率响应如下图所示。

其中,上图中的B=RB/2。
升余弦滚降滤波器的频率响应曲线如下图所示。

升余弦滚降滤波器的单位冲激响应如下图所示。

其中α是升余弦滚降滤波器的一个很重要的参数,叫滚降系数。
当α=0时,升余弦滚降滤波器的频率响应和单位冲激响应如下图所示。

很明显,上图中的这种情况下升余弦滚降滤波器就是一个带宽为B的理想低通滤波器。升余弦滚降滤波器的频率响应可理解为是频域下的一种变换函数,其单位冲激响应是时域下的变换函数。
当α=0.5时,升余弦滚降滤波器的频率响应和单位冲激响应如下图所示。

上图中的滤波器的带宽为:(1+α)B=1.5B。
当α=1时,升余弦滚降滤波器的频率响应和单位冲激响应如下图所示。

上图中的滤波器的带宽为:(1+α)B=2B。
下面以滚降系数α=1的升余弦滚降滤波器为例,看一下滤波器的输 入和输出信号波形。
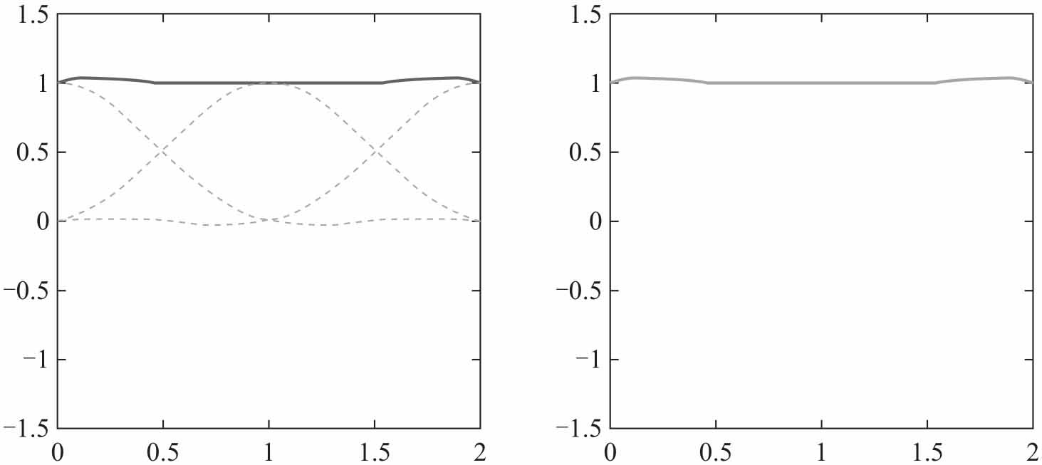
假定发送序列为:{1,1,1,-1,1,-1,-1,1}。发送序列、输入升余弦滚降滤波器的冲激信号、每个冲激对应的冲激响应、升余弦滚降滤波器的输出信号(所有冲激响应之和)如下图所示。

采用升余弦滚降滤波器进行脉冲成形时,要想实现**间串扰,也就是一个脉冲信号的幅度达到最大时其他脉冲信号的幅度刚好为零,脉冲信号之间的时间间隔必须为1/2B,如下图所示。

从上图中可以看出码元 速率:RB=2B。
升余弦滚降滤波器输出信号的频谱带宽与滚降系数有关,如下图所示。

当α=0时,频谱带宽为:(1+α)B=B。
当α=0.5时,频谱带宽为:(1+α)B=1.5B。
当α=1时,频谱带宽为:(1+α)B=2B。
很明显,在给定码元传输速率R的情况下,基带信号频谱带宽为 (1+α)R/2,当α=0时基带信号频谱带宽取到最小值R/2;反之,在给定基带信号频谱带宽B的情况下,码元传输速率为2B/(1+α),当α=0时码元传输速率取到最大值2B。
6.3、眼图
6.3.1、什么是眼图
1、关于眼图的简要介绍以及眼图是如何反应码间串扰的强弱和噪声的影响。
用示波器的余辉方式累积叠加显示串行基带信号的波形时,显示的图形看起来很像眼睛,因此称为眼图,如下图所示。

从“眼图”上可以观察出码间串扰和噪声的影响,从而估计系统优劣程度。
眼图的“眼睛”张开的大小反映着码间串扰的强弱:“眼睛”张得 越大,且眼图越端正,表示码间串扰越小;反之表示码间串扰越大。
当存在噪声时,噪声将叠加在信号上,观察到的眼图的线迹会变得模糊不清。若同时存在码间串扰,“眼睛”将张开得更小。与**间串扰时的眼图相比,原来清晰端正的细线迹,变成了比较模糊的带状线, 而且不端正。噪声越大,线迹越宽,越模糊;码间串扰越大,眼图越不端正,如下图所示。

上图是噪声和干扰对眼图的影响下的眼图。

6.3.2、眼图的生成原理
1、眼图是如何生成的?

由上图可以很容易看出,当前码元的波形主要与前后两个码元有关。 连续3个码元(前一码元、当前码元、后一码元)中,每个码元承载的 比特都有两种可能取值:0或1,这样共计有8种组合:000、001、010、 101、011、111、110、100。
假定接收端接收到的基带信号波形承载的比特依次是: 000。这串二进制数据正好覆盖了上述8种组合,如下图所示。

下面看一下上图这串二进制数据脉冲成形后得到的基带波形在示波器中形成眼图的过程。
输入000,示波器上显示的波形轨迹如下图所示。

输入001,示波器上显示的波形轨迹如下图所示。

输入010,示波器上显示的波形轨迹如下图所示。

输入101,示波器上显示的波形轨迹如下图所示。

输入011,示波器上显示的波形轨迹如下图所示。

输入111,示波器上显示的波形轨迹如下图所示。

输入110,示波器上显示的波形轨迹如下图所示。

输入100,示波器上显示的波形轨迹如下图所示。

至此示波器上显示出了完整的眼图。



















版权声明:本文内容由互联网用户自发贡献,该文观点仅代表作者本人。本站仅提供信息存储空间服务,不拥有所有权,不承担相关法律责任。如发现本站有涉嫌侵权/违法违规的内容,请联系我们,一经查实,本站将立刻删除。
如需转载请保留出处:https://51itzy.com/kjqy/19017.html