-
理解公式背后的原理: 首先,你需要深入了解每个公式的含义和适用条件。这有助于你更准确地应用这些公式,避免在解题过程中出现错误。 -
掌握公式的变形: 有些公式可能有多种变形,掌握这些变形有助于你在解题时更灵活地运用公式。例如,你可能需要知道如何从一个公式推导出另一个相关公式。 -
结合实际问题使用公式: 在管理类联考中,数学题目通常与实际问题相结合。因此,你需要学会如何将实际问题转化为数学模型,并运用相应的公式进行求解。这要求你具备将实际问题抽象化、量化的能力。 -
注意公式的适用范围: 不同的公式适用于不同的问题类型。因此,在解题时,你需要仔细分析问题,确定使用哪个公式。同时,也要注意公式的限制条件,避免在不适用的情况下使用公式。 -
练习使用公式: 通过大量的练习,你可以更熟练地掌握公式的使用。建议多做一些模拟试题和历年真题,加深对公式的理解和应用。
应用题核心公式
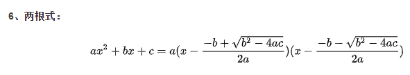
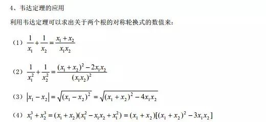
根的判别式
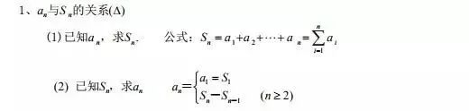
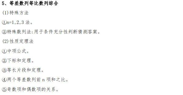
数列核心公式
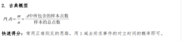
排列组合概率
实数核心公式
绝对值核心公式
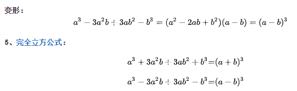
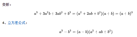
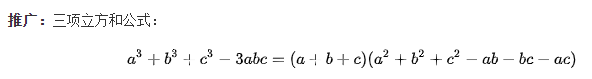
因式分解问题

函数问题
均值不等式问题
几何面积
立体几何问题
点与直线的位置关系
直线与直线的位置关系
点、直线、圆的位置关系
面积和对称问题
版权声明:本文内容由互联网用户自发贡献,该文观点仅代表作者本人。本站仅提供信息存储空间服务,不拥有所有权,不承担相关法律责任。如发现本站有涉嫌侵权/违法违规的内容,请联系我们,一经查实,本站将立刻删除。
如需转载请保留出处:https://51itzy.com/kjqy/187325.html