

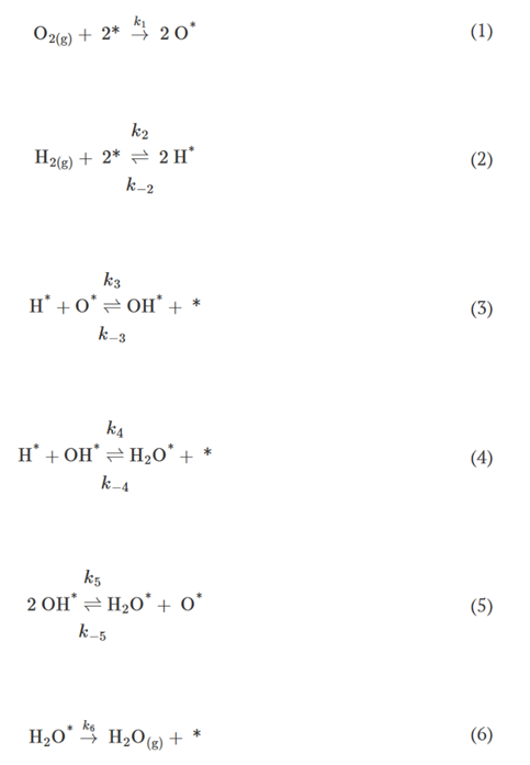
ddpm模型做化学反应(ddpm模型跟dpm区别)o p 解决的关键科学问题和主要研究内容 o p 1 研究氢氧化反应的动力学 o p 2 发现氧覆盖度对反应动力学的显著影响 o p 3 通过理论计算和实验验证的方式 阐明 Pd 催化剂氢氧化催化反应的动力学 o p 异相催化剂中 加快反应速率的原子结构有时必须在高温高压条件才能够形成 这导致难以在低温超高真空方法观测这种结构 o p 有鉴于此 哥廷根大学 Alec M


版权声明:本文内容由互联网用户自发贡献,该文观点仅代表作者本人。本站仅提供信息存储空间服务,不拥有所有权,不承担相关法律责任。如发现本站有涉嫌侵权/违法违规的内容,请联系我们,一经查实,本站将立刻删除。
如需转载请保留出处:https://51itzy.com/kjqy/182021.html