<svg xmlns="http://www.w3.org/2000/svg" style="display: none;"> <path stroke-linecap="round" d="M5,0 0,2.5 5,5z" id="raphael-marker-block" style="-webkit-tap-highlight-color: rgba(0, 0, 0, 0);"></path> </svg>
讯享网
内存时易失性设备,断电信息会丢失,所以都配置外存
文件系统包含两部分:
- 文件集合
- 目录
数据分为文件、记录和数据项
文件系统的管理功能是将其管理的程序和数据通过组织为一系列文件的方式实现的
数据项
- 基本数据项:描述对象的某种属性的字符集
- 组合数据项:若干个基本数据项组成
记录
某方面的属性
一个记录应包含哪些数据项,取决于需要描述对象的哪个方面
文件
指由创建者所定义、具有文件名的一组相关元素


扩展名:就是后缀名,指示文件类型

(1)对象及其属性
管理的对象

(2)对对象操纵和管理的软件集合
文件管理系统的核心,功能实现

四个层次软件

(3)接口
- 命令接口:用户于文件系统直接交互的接口,获取文件服务
- 程序接口:程序与文件系统的接口,程序获取文件系统的服务
基本操作

“打开”和“关闭”
其他文件操作

按是否有结构来分:
有结构文件(记录型)
每个记录描述实体集中的一个实体
分为:定长和变长

无结构文件(流式文件)
流式文件,其文件长度是以字节为单位,利用读、写指针来指出下一个要访问的字符
例子:源程序、可执行文件、库函数
按组织方式分


优缺点:
优点:存取快
缺点:查找慢,增删难
就是加多少L

显式适用于定长里面

就是建立索引表查找

增加了两个新特征:
- 文件索引表
- 溢出overflow文件

根据给定的关键字直接获得指定记录的物理地址
键值转换
使用hash函数将关键字转换为相应记录的地址,hash函数求得的是并非是相应记录的地址,而是指向某一目录的指针和物理块

要求:
- 实现“按名存取”
- 提高检索速度
- 文件共享
- 允许文件重名
FCB的有序集合就是文件目录
包含三类信息:

- 基本信息类:文件名、文件物理位置、文件逻辑位置、文件物理结构
- 存取控制信息类:文件拥有者的存取权限、核准用户的存取曲线
- 使用信息类:文件的建立日期……
索引结点

内存索引结点

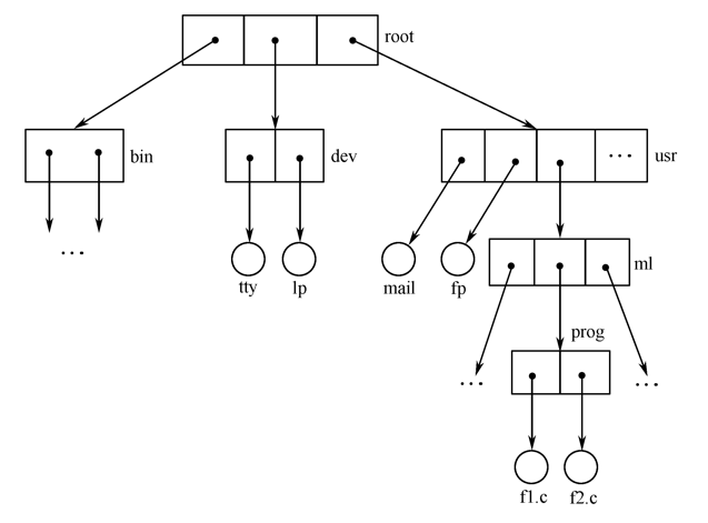
每个文件和每个目录都只能有一个父目录
把数据文件称为树叶,其他的目录均为数的结点,子目录



线性检索法
就是按照顺序检索
hash方法
指系统允许多个用户共享同一份文件
树形结构不合适文件共享
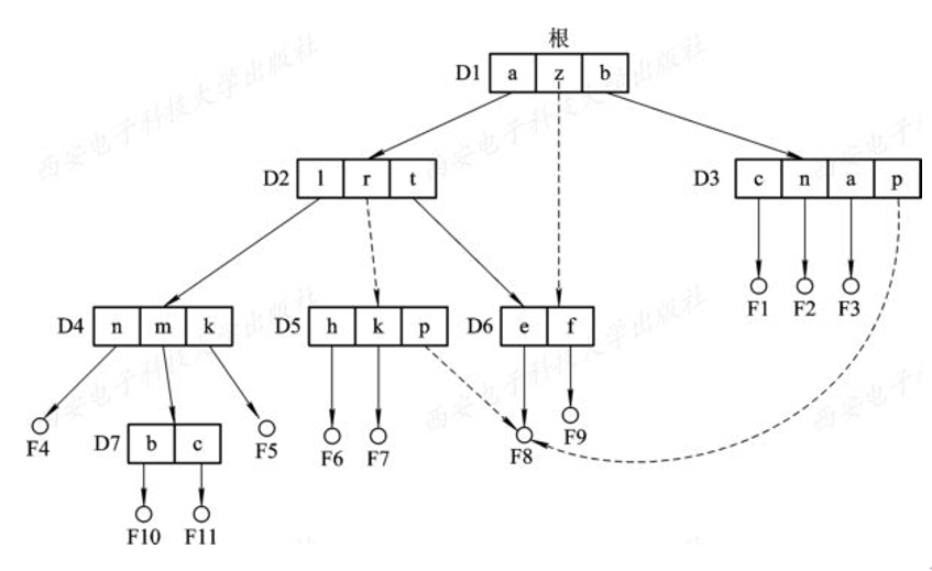
如果一个文件可以有多个父目录,即有多个属于不同用户的多个目录,同时指向同一个文件

利用索引节点(硬链接)
当count=2,说明有两个用户目录项链接到本索引节点上

允许一个文件或子目录有多个父目录,其中仅有一个作为主父目录
虚线是次父目录,实线是主父目录


版权声明:本文内容由互联网用户自发贡献,该文观点仅代表作者本人。本站仅提供信息存储空间服务,不拥有所有权,不承担相关法律责任。如发现本站有涉嫌侵权/违法违规的内容,请联系我们,一经查实,本站将立刻删除。
如需转载请保留出处:https://51itzy.com/kjqy/171661.html