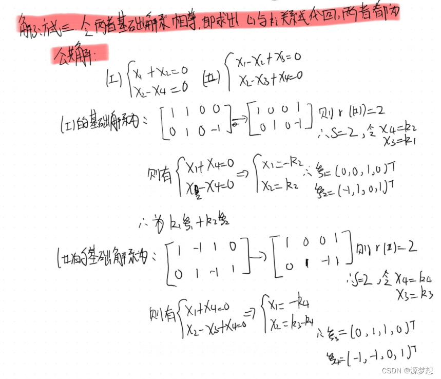
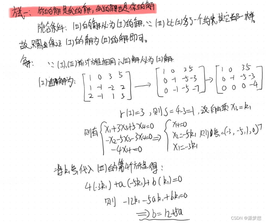
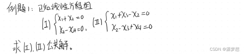
2025年方程组的公共解与同解。 科技前沿 • 2025-01-18 19:00 • 阅读 45 方程组的公共解与同解。1 公共解的三种方式 不同方式所用例题 1 方式一 2 方式二 3 方式三 2 同解方程组的三种方式 不同方式所用例题 1 方式一 2 方式二 3 大家好,我是讯享网,很高兴认识大家。 1.公共解的三种方式 不同方式所用例题 讯享网 1.方式一 2.方式二 3.方式三 2.同解方程组的三种方式 不同方式所用例题 1.方式一 2.方式二 3.方式三 小讯 2025年AD学习笔记 上一篇 2025-03-03 17:50 入门:无线传感网(WSN)通信与网络 下一篇 2025-03-29 15:10 相关推荐 2025年AD学习笔记 1735981601 结构体里面定义一个字符数组,长度为0 1735981601 蓝桥杯单片机易错点(深夜学习——单片机) 1735981600 2025年【转】什么是ERP、SCM、CRM? 1735981599 大一学生WEB前端静态网页——唯品会1页 包含hover效果 1735981598 声屏障:声屏障 1735981598 基于 FFlogs API 快速实现的 logs 颜色查询小爬虫 1735981597 2025年随机化算法 1735981596 2025年「冰羚」— 撑起自动驾驶未来的“中间件” 1735981596 入门:无线传感网(WSN)通信与网络 1735981603 单菌二三代数据组装神器Unicycler-Ragtag连接contig-pyGenomeViz基因组共线分析 1735981603 2025年智慧农场app软件农业解决方案 1735981604 2025年3Q中的AQ是什么意思- 1735981605 Go Gin项目搭建 1735981606 2025年(二)GNSS定位中的卫星轨道位置计算 1735981606 AIGER格式介绍 1735981607 2025年夜神模拟器录制脚本录制键盘操作方法 1735981609 2025年金融建模 1735981610 版权声明:本文内容由互联网用户自发贡献,该文观点仅代表作者本人。本站仅提供信息存储空间服务,不拥有所有权,不承担相关法律责任。如发现本站有涉嫌侵权/违法违规的内容,请联系我们,一经查实,本站将立刻删除。如需转载请保留出处:https://51itzy.com/kjqy/17118.html
版权声明:本文内容由互联网用户自发贡献,该文观点仅代表作者本人。本站仅提供信息存储空间服务,不拥有所有权,不承担相关法律责任。如发现本站有涉嫌侵权/违法违规的内容,请联系我们,一经查实,本站将立刻删除。
如需转载请保留出处:https://51itzy.com/kjqy/17118.html