讯享网
一、 知识梳理
1.指数函数
(1)指数函数的定义
一般地,函数y=ax(a>0且a≠1)叫做指数函数.
(2)指数函数的图象

底数互为倒数的两个指数函数的图象关于y轴对称.
(3)指数函数的性质

①定义域:R.
②值域:(0,+∞).
③过点(0,1),即x=0时,y=1.
④当a>1时,在R上是增函数;当0<a<1时,在R上是减函数.
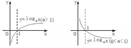
2. 对数函数
(1)对数函数的定义

函数y=logax(a>0,a≠1)叫做对数函数.
(2)对数函数的图象
底数互为倒数的两个对数函数的图象关于x轴对称.
(3)对数函数的性质:
①定义域:(0,+∞).
②值域:R.
③过点(1,0),即当x=1时,y=0.
④当a>1时,在(0,+∞)上是增函数;当0<a<1时,在(0,+∞)上是减函数.
版权声明:本文内容由互联网用户自发贡献,该文观点仅代表作者本人。本站仅提供信息存储空间服务,不拥有所有权,不承担相关法律责任。如发现本站有涉嫌侵权/违法违规的内容,请联系我们,一经查实,本站将立刻删除。
如需转载请保留出处:https://51itzy.com/kjqy/157843.html