
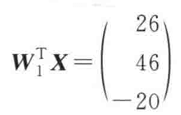
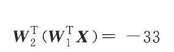
参考答案:


这里答案应该是计算错了,正确结果应该是 -37。
详细解析:

如果在第1题中,在第一层与第二层计算后附加了RLU激活函数,结果是怎样的?
参考答案:

详细解析:



参考答案:

详细解析:

请从优化的角度谈谈,为什么在实际应用中,人们会优先选择ReLU作为激活函数,而不是Sigmoid?请谈谈你的理解。
参考答案:
神经网络主要靠反向传播进行优化,而反向传播需要求导数。
Sigmoid函数在远离0点的时候导数非常小,影响优化。
而ReLU的梯度非常容易求,对于优化是非常方便的。
详细解析:

ReLU函数优于Sigmoid函数主要体现在以下几个方面:
Sigmoid激活函数的输出范围在0到1之间,函数图像在两侧(接近0或1)时趋向于平缓,在输入非常大或非常小时会接近饱和。由于这种平缓的饱和区域存在,Sigmoid在反向传播计算梯度时,梯度值可能会变得非常小,导致梯度的快速衰减。这种现象称为“梯度消失”。
版权声明:本文内容由互联网用户自发贡献,该文观点仅代表作者本人。本站仅提供信息存储空间服务,不拥有所有权,不承担相关法律责任。如发现本站有涉嫌侵权/违法违规的内容,请联系我们,一经查实,本站将立刻删除。
如需转载请保留出处:https://51itzy.com/kjqy/152904.html