声调
汉语的声调是“利用嗓音的高低来辨别字的异同的音位”,是“一个音节里头,带音部分的基音(声学里头所谓 fundamental frequency)的音高(pitch,每秒钟的颤动频率)在时间上的函数”(赵元任,1959-1980)。因此,声调具有与元、辅音音段一样的区别词义的音系功能。在传统的汉语音韵学里,把汉字/音节的语音结构分析为‘头、颈、腹、尾、神’五大部分。其中,前四个为音节各个局部的音段成分;唯有‘神’为覆盖整个音节的成分,而这个成分不但一点也不输元音和辅音音段的音位区别功能,而且还是不可或缺的。一个汉字可以没有‘头、颈、尾’,但却不能没有‘腹’和‘神’。
声调具有区别意义的作用,不能任意改变。普通话的字音分属阴平、阳平、上声和去声四种基本调值(不包括轻声和变调)。四种声调的F0曲线的表现是不同的,一般认为阴平高平,阳平中升,上声低降升,去声高降。但这些都只是F0的抽象描述,实际语音的F0曲线会有小幅度的变化。如有些字音的F0在曲线开头和结尾有“弯头”和“降尾”现象。而声调的音高信息只跟调型段的F0模式有关。
- 调值(声学属性):声调实际读音的高低、升降、曲直、长短的形式
- 调类(语言学或音位学属性):依据各地方言实际情况,按照区分意义的功能和历史关系,将不同调值的音节或汉字加以分析归类得出的声调类型,比如普通话的四声就用阴阳上去表示。
引言
根据声调的有无,我们可以把世界上的语言分为声调语言和非声调语言两大类。
- 非声调语言,并不是说音节没有高低升降的音高变化,只是这种变化只能改变语气作用,并不能区别意义。如:在英语单词book,音高可以逐渐升高(疑问句),也可以逐渐下降(陈述句)。但书的意义没变。
- 声调语言,音高变化不仅包含语气,还有辨义作用。如:书,当音高上升,为熟,音高下降为“树”。意义完全改变。
普通话的声调非常重要,不容忽视。 确实,如果你在试图说一些非常基本或明显的事情时混淆了你的语气,中国人可能仍然能够根据上下文猜出你的意思。
例如:
一个音节,除了由元音、辅音按时间顺序拍成系列的音质单位,还有超音质成分,包括音高、音强、音长。在声调语言中,音高在音节中起的作用和元音、辅音同等重要。
声调语言
- 高低型声调语言,只根据音的高低区分声调。最少的只分高低两级,也有分高中低三级的,还有四级,即高调、半高调、低调、半低调。
- 旋律型声调语言,除音的高低外,还根据音的升降变化,区分声调。声调的音高和时间是函数关系,画出来像音乐中的旋律。汉藏语系语言的声调一般是旋律型,北京话只有四个声调。
标准的普通话声调
- 第一声:阴平(yīnpíng),俗称第一声(dìyīshēng),平稳、平稳,不升不降。 它通常也被描述为高音。 高(gāo;高,高)这个词用第一个声调发音。
- 第二声:阳平(yángpíng),通常称为第二声(dì’èrshēng),是升调。 茶(chá;tea)这个词用第二个声调发音。
- 第三声:上声 (shàngshēng),通常被称为第三声 (dì sān shēng),最常被教导为先降后升的浸音,如买 (mǎi; to buy)。
请注意,当与其他音节结合使用时,第三个音经常会发生重大的发音变化。 由于这个事实,一些作者认为除了三声之外,还有另一种声调,称为半三声。 这个半三分音是低喉音,略微下降但不会恢复。 - 第四声:去声(qùshēng),俗称第四声(dìsìshēng),是降声。 树(shù;树)这个词用第四个声调发音。
- 中性音(有时称为第五音):轻声(qīngshēng)在中平坦范围内微弱且无压力。 它经常出现在双音节汉语单词的最后一个音节,例如东西(dōngxi;thing),而从不出现在第一个音节。 一些语言学家不认为中性声调是真正的声调,但大多数学习者将其视为一种声调。
对于一个声音更高的孩子, 音调一起变高。 对于低声的男中音,音调一起变低。 因此,并非每个人的第一个音调都会以相同的水平开始,但它应该保持高音和平坦。

讯享网
调值、调类
声调的物理基础就是声带振动的基频,单位Hz。声调在语音感知上称为音高,单位梅尔mel,但更常用乐律单位音分cent。从声调的最低值到最高值是基频的变化范围,也就是‘调域’,一般约占一个八度音。调域因人而异,男人大致在100-200Hz,女人在150-300Hz之间,即使同一个人,说话时由于感情或语气不同,调域的高低和宽窄也会有变化。
调值
调值所形成的语言是多种多样的,有平、升、降、升降、降升、升降升、降升降等多种形式,而且高低可不同。但一种语言的调值总是有限的。在目标已知的声调语言中,平调的高低不同最多不超过五种。设说明把调值分为五度是符合语言的客观实际的。
理论上,五度制标调中可能出现的高低不同的声调或降调各可达十多种,但实际语言或方言中,升调或降低一般不超过两种。最复杂的调值曲线可有升降升、或降升降两次起伏,在语言中很罕见。
调类
把语言中出现的调值加以归类,得出的类别就是调类。最简单的办法就是根据调值是否相同来归纳,调值相同的归为一类。但语言中调值的分布情况往往相当错综复杂,必须通盘考虑各种调值在语言里出现的条件和环境,才能归纳出符合语言实际情况的调类。
音程
F0曲线属于物理学的内容,它还不完全等同于我们心理上感受到的音高。所以,我们还必须把基频转换成心理上的音高。那么,基频与心理平面上的音高有什么关系呢?音乐上的音高感知与语音上的音高是相当一致的。当两个音的基频相差一倍,人们感知到的音高相差一个八度,声学上叫作一个倍频程。
举一个例子:
假设f1=20Hz,当f2与f1相差1个倍频时,f2=f1·2^1=40Hz,
当f2与f1相差2个倍频程时,f2=f1·2^2=80Hz
当f2与f1相差N个倍频程时,f2=f1·2^N Hz
由此我们可以得到倍频程的计算方法,当两个音的基频为f1和f2时,f2和f1相差的倍频程n为:

一个倍频程作为一个音高单位还嫌太大,在音乐上把一个倍频程分作12等分,即十二平均律,每个等分为半音程。
当f2与f1相差半音程的时候,f2=f1·(2)^l/12,
当f2与f1相差n个半音程的时候,f2=f1·(2)^n/12。
声调格局图
作用:调值、调类的确定,连续变调、底层表层、普通话上声本质的问题等。
记录声调基频的变化,得到只是一个人在一定环境下的声调绝对频率值。描述声调最简单的方法就是五度制标法,搜我博客。
五度标记法(杨顺安)

五度制所描写的调值是相对的,不管基频的绝对频率值是多少,也不管音域本身高低宽窄的变化有多大,一律都归并到相对的五度之中,这是符合人类对声调感知的客观实际的。
T值法
后期石峰在五度标记法的基础上,研究出了T值法。

调形、调型、调层、调域
声调调形的物理基础就是语音的基频变化轨迹,即F0曲线。
确定调形有以下几个步骤:
- 去除弯头和降尾
当个声调的起点或结束频率很高的时候,声带会由于惯性,往往有一个由松到紧的过程,F0就会出现一个弯头段或降尾段,如果比较严重就会影响对声调调形的判断。
如何解决?
(1)对于弯头和降尾不太明显的,把所得的F0曲线在头尾处各截去5%。
(2)太明显的,在基频的最大和最小值地方,通过声调曲线的走向判别弯头和降尾段并去除(普通话弯头约60ms,降尾约40-50ms) - 舒声调和促声调的判别
舒声调和促声调的区别特征是时长,当时长短到一定的程度调形不起作用。 - 舒声调的调形判别
决定调形的主要特征是音高的相对变化,并不是基频的绝对值。如下图中的两个声调,右边比左边的高,但是它们的调形是完全相同的。

一个人说话时声调曲线在不断变换,但是如果不发生语言环境的变化,音高的平均值通常没有太大的变化,这个平均值叫作调层。
研究汉语的声调主要是研究调形,调层可能由许多非语言学的因素产生,例如女性的调层比男性的高,小孩比老人高,同一个人说的话因为各种说话环境不一样调层也会不一样。上图中的两个声调可能就是同一个语言中的同一个声调,一个是男人发的音,另一个是女人发的音。当一个人用同一个调层说话的时候,所有声调中的最高音与最低音的差值叫作调域。据吴宗济1997年实验,调层因不同发音人会有不同,但调域变化不大。因为一个语言中的调域变化不大,所以调形的变化也不会很大。
调形的规整
调形的规整主要是去除调层的影响。那么,通过什么方法能够去除调层的影响呢?

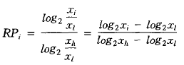
上图有两个升调。说明声调有两种不同的描写,潘悟云教授把它们叫作绝对音高域AP和相对音高域RP。注意相对音高域纵坐标是倍频程,或半音程。他们之间的关系为:

xl为绝对调域中的最低点,也是倍频程计算的起点。
调层只能是绝对声调域的内容,不同调层的声调到了相对音高域,调层的区别消除。调域可能是绝对音高域的值,单位是赫兹,也可能是相对音高域的值,单位是倍频程或半音程。在需要区别两者的地方,把前者叫作绝对调域,后者叫作相对调域。相对调域相同的两个音,绝对调域可能不一样。
相对调域相同的声调,可以通过上面的方法进行规整。但是,不同的发音环境也可能导至相对调域的稍许变化,这就要对上面的数学处理方法作进一步的调整。我们可以把调形与调域的关系设想为画在一块橡皮上的图画,当橡皮拉长或压扁的时候,上面的图像也跟着改变。所以,如果通过调形与调域的比值来规整调形,就能去除调域差异给调形所带来的影响。为此,我们把公式做如下调整:

xl为绝对调域中的最低点,xh为最高点。

由以上两个图表可以看出‚以不同的基调说出的四声调域,用音程标度,其宽度就全都相等。这恰好证明:古代根据口耳的感受,用宫商的音阶来定言语声调‚是正确的。而今日在语音处理中如改用音程来标调或者简化为用赵式的五度制来记调‚都是合理的。
注:
文章2014年《声调类型学大要——对调型的研究》朱晓农
提出:术语“调形”因和“调型”同音近义而弃用,在要用到类似意思时根据场合改用“拱形、调拱、拱度”等。
调型tonetype
声调研究是音系学近半个世纪来的重中之重,但遗憾的是至今一个最基本的问题还不明确:声调的承载单位是什么。我们把音节视为声调的承载单位。音节有两个直接成份:音段组合和发声组合。发声组合即声调。
什么是声调类型?
声调类型”有三种理解,也导致三种研究——
第一种,“类”的理解和研究:从古调类出发,看今天的分合。
第二种,“值”的理解和研究:从听感的五度制调值的描写出发,来概栝一个大样本中有多少降调多少平调等(以及什么样的拱形最普通等等。进一步的理论工作是把五度值简化为这样的标记,以期简约出共性来。
第三种,“型”的理解和研究:从声学材料中测定基频,进行归一化处理确定声调的基频走向然后用分域四度制表达,以域度、长度、高度、拱度四个参数取值在“普适调型库”中来确定“声调类型”。在这个意义上,声调类型=调型。

- 从调类角度看,都是同样的四个调类,
- 从调值角度看,四个声调中一同三不同,
- 从调型角度看,两者的格局都是“高低升降”,完全相同。

调型表示
声调的音节模型:

声调表达有四个参数:域度、长度、高度、拱度。域度由发声态定义,发声态分六大类十四小类(表1)。调型就在这四个参数上取值并用线条直观地表达在分域四度制中(图3)。声调类型学要比较各个音系的声调系统的四项取值。

看图3高中低分三个域,高域由假声张声定义,中域由清洌声定义,低域由气声僵声带声定义。每个域音高分度,相邻两个域音高差度加起来一共六度。图1中天津话和北京话的声调格局就用了分域四度制,只不过只用了中域;大部分官话方言用不着高域和低域。

根据近年来大规模田野调查所得的声学数据以及分域四度制我们构建了更为全面的声调分类系统。这就是表3的“有你我式”(universal)的“普适调型库”,表中的调型是根据对平\、升、凹、降调的总结。调型以斜杠“/ /”标示,各有语音变体写在花括号“{ }”中。

如何区分调形VS调型?
很多学者对这两个概念的使用并不统一。那该如何区分呢?
调型(Tone Type):声调的类型。可以归纳为两大类,第一类叫作曲拱调(contour tone),是在音节范围内依靠音高的升降曲折变化来区别调类的调型,这类调型也叫动态调型(dynamic tone);另一大类叫作平调(register tone/ level tone),是在音节范围内不依靠音高的升降曲折,只依靠音高(音区)的高低等级变化而实现的声调,这类声调也叫做静态声调(static tone)。
调形(Tone shape/contour):是指声调的音高随时间而变化的升降、平曲的具体形状。常见的调形有平调、升调、降调、曲折调,曲折调又分为降升调和升降调两种形状(曹建芬2004)。
语流中的声调变化
试验表明,说话速度对基频的影响不大,但是当连续发音时,声调之间的相互影响很大,即调型会发发声很大变化。一种是音位音变,称为变调(tone sandhi);另一种叫声调协调发音(tone coarticulation)。
语流音变(变调)
三个最重要的普通话声调变化规则
一些音调变化是可选的,而另一些则是强制性的。 下面列出了三个最重要的强制性音调变化规则:
1. 三音变化
第三个音调是最难掌握的音调之一。 这可能是因为它几乎从来没有以浸音的原始形式出现,除非单独发音。 当第三声与其他字符组合时, 它几乎总是会发生音调变化。
涉及第三音的音调变化的基本强制性规则是:
- 当一组中连续出现两个三声时,第一个三声变为第二声。这种现象经常发生。 最著名的例子发生在 中文问候 你好(nǐhǎo),这是大多数学生学习的第一个中文单词。 作为三声字,你 (nǐ) 和好 (hǎo) 都单独用浸三声发音。 由于这种变调规则,你好发音为“níhǎo”。 然而,你好的拼音仍然写成 nǐhǎo(见下文关于如何写声调的部分)。
- 如果连续出现多个三音,则实际上只有该组中的最后一个被发音为三音。 其他的变为第二声。 例如,流行的中国感冒药999的名称包含一系列三个三声(九九九 jiǔjiǔjiǔ)。 但是,当发音时,前两个第三个声调会变成第二个声调,因此这个名字实际上变成了“jiújiújiǔ”。
- 使用时几乎除了在另一个第三个音之后或单独之外的任何地方),第三个音被发音为轻微下降而不会再次上升的低音。 该换句话说 当它出现在第一个、第二个或第四个音之后。 所以大多数时候第三个音是低喉音。
这些第三个音调变化听起来可能很复杂且难以记住。 简单地认识到,由于这些变化,实践中最常见的三声发音实际上是作为一个 低沉、略有下降的音调, 不能 作为一种浸渍。
第三个音几乎从不发音为浸音,这一事实导致一些人建议教师应该改变 他们教第三音的方式。
2.不 (bù) 变调
强制性的变调规则涉及常用字符不(bù),意思是“不是”或 不:
- 字不(bù)的原声是四声。 然而,当后面跟着另一个四声时,不 (bù) 会发第二声。 例如,官方拼音为 不对 (bùduì; 不正确) 由两个连续的下降音组成。 然而,当发音时,不 (bù) 的声调变为上升的第二声调。 因此,不对的实际读音是“búduì”。
除上述情况外,在所有情况下,不 (bù) 都保持原来的第四声调。
3.一 (yī) 变调&七(qī)变调& 八(ba)变调
另一个经常发生强制声调变化的常用字符是一(yī),它意思是“一个”。
与不 (bù) 一样,一 (yī) 是汉语使用者经常使用的普通话词。 它的原始音调,即平坦或水平的第一音,在单独发音时最常用。一 (yī) 在用作序数或作为地址和日期等日常上下文中出现的常规数字时,也保留了其原始的平调。
否则,以下强制性音调更改规则适用:
- 当接第四声时,一(yī)从第一声变成第二声。 这样,它的行为有点像不(bù)。 例如,在常用结构一个 (yīgè) 中,表示一个(某物),一 (yī) 后接第四声调。 因此,由于这种变调规则,发音将变为“yígè”。
- 如果一(yī)出现在除四声之外的任何其他声调之前,它从一声变为四声。 例如,在普通结构一起 (yīqǐ) 中,一 (yī) 后接第二声,因此在发音时变为第四声,变成“yìqǐ”。
声调协同发音
出于协同发音的需要,一个上声字与非上声字相连时,上声字的声调变成半上声(调211);两个去声相连时,前一个去声要读的短而且结尾较高,这样的读法称为半去,但这个去声仍然保持去声的调型和调类。
汉语口语中声调变化的复杂性
1. 底层调形和表层调形:
字音节本身有“字调”(在普通话为“四声”) ;短语由几个音节在口语中连读, “字调”就起了变化而产生“短语变调”;若干个“短语变调”组合又起了变化而成为句子的“语调”。“字调”和“短语变调”是构成语调的基本单元,称为“底层调型”。若干个“基本单元”加上不同的“语气”而构成的“语调”称为“表层调形”。因此口语中所说出成句的“表层调形”是“字调”、“短语变调”和“语气调势”的混合体。(吴宗济1996a )
变调词汇

声调格局(基于实验音系学)
语音格局一般分为元音格局、辅音格局、语调格局等。汉语等声调语言还会有声调格局。汉语的语音格局研究以声调格局的分析为开端。以T值计算为代表的声调格局研究已经广泛被学界采用。
声调T值的计算及声调格局图
声调格局指由一种语言(或方言)中全部单字调所构成的格局,而广义的声调格局则应该包括两字组及多字组连读的声调表现,相对于单字调的静态研究,那就成为声调的动态分析。单字调的声调格局是静态的分析,是声调研究的基础形式,是考察各种声调变化的起始点。
利用语音实验取得某位操一种语言(或方言)的发音人的全部单字调的测量数据‚例如每个声调取9个测量点。分别对各测量点上的数据分组计算,每个测量点得出一个平均值,然后采用T值公式进行数据的归一化和相对化分析(石锋1986),公式如下:

其中max为该发音人各点平均值中的最大值,即调域上限;min为最小值,既调域下限;x表示表示任一测量点的平均值。取常用对数的目的是使音高的赫兹单位接近人耳的听觉特性。乘以5是为了使实验数据跟传统的五度值记调法相对应。
实际上T值公式把不同发音人各自不同的调域进行了归一处理,得出的是某个测量点在该发音人整个调域中的相对位置,这就实现了音高数据的相对化。计算中也可以采用简化的公式,即去掉log。

在一个平面坐标图中把各个声调的T值数据依次标示为坐标点,再用平滑曲线分别把同一声调的各点联接起来,就成为这种语言或方言的声调格局图。图1是北京话的声调格局图。采用T值的计算方法得出声调格局图形,可以直观地表现声调的系统特征和相对关系,增强不同地点和不同发音人相互之间的可比性。
此公式适用于单发音人的小样本数据处理,如果是多人大样本,需要对公式改进。
详细参考文章:声调格局与元音格局的研究综述(南开-梁磊)
声调特点
- 不同人读同一个音,甚至同一个人读几遍同一个音,声调都有不同程度变换(受外界环境、个人情绪、习惯等的影响)
- 在实际应用中受语流音变和协同发音的影响,同一声调在语流中与单独发音时F0曲线的走向会发生变化,有的甚至会变成另一种声调。
- 单字、两字词、三字词等的声调变化规律都不同。
声调与语调、重音之间的关系
现代语音学研究的主要目标就是揭示人类语言产生和感知的自然机制,本文试图从语言生成的自然机制的角度,对韵律语法研究中提出的一些相关问题做些简单的分析。(汉语声调、重音与语调关系的语音学和神经认知机理简析,曹剑芬,2022)
说起声调,大家早已烂熟于心,而要说到它与重音的关系、特别是词层面上的语音实现关系时,就显得相当复杂。尽管两者都是基于听觉感受的语音学概念,而且,这两个概念似乎主要都是跟音高的变化密切相关;然而,在声调和重音产生的层面上,真要说清楚其中所涉及的语音实现关系,就不那么容易了。
声调:
从自然言语产生的角度看,或者说从语音实现的角度看,声调就是音节内部基频(即基音)随时间而变化的轨迹。这种轨迹包含两个特征:一是升降平曲变化的曲拱(contour)特征,也就是调形特征;二是高低起落的音区(register) 特征,相当于音乐上的音阶,一般分为高、中、低三级。通常,人们主要关注声调的曲拱特征而忽略其音区特征;然而,一旦涉及它与重音和语调的关系,就不得不关注它的音区特征了。
重音:
语音的轻重对比是语言的共性,汉语也不例外,有词层面的,有语句层面的。语句层面的轻重对比具有语言共通性,而词层面的轻重对比则是随语言而异的,语言的类型不同,轻重对比的音系学功能及其在语境中的语音实现方式就不同。现在的许多争议,主要出现在词层面上。
语调:
语调有广义狭义之分。
通常,狭义的语调仅指语句音高运动的起伏走势,有两个基本要点,一个是由发音生理制约(包括能量和时间局限。参见许毅 Xu, Y. 2007)导致的自前向后的音高下倾(declination)走势,这是构成狭义语调起伏走势的底层骨架(曹剑芬 2002);另一个是局部词语的声调或短语调的音高运动轨迹,它的表层实现取决于语句总体的表达需要,这就会跟重音凸显以及节奏的边界信息表达同步叠加。所以,这部分的音高运动轨迹就显得特别错综复杂,令人眼花缭乱。
广义的语调就是话语轻重缓急、抑扬顿挫的腔调,就是韵律。
结论:
从语音生成的角度看,重音并非单纯的音高高、音域大、音长长,或者声调的典型完整;轻音也不是绝对的没有音高变化,它并没有失去音调/调子(tone),所谓atonic,只是失去了四声的调位区别,音域缩小了,音强相对地弱,音长相对地短。所以,既不应该单纯以有调还是无调来衡量语音的轻重。同样的道理,也不能单纯以音长或音强要素来定义孰轻孰重。既不能笼统地说‘高重低轻’,也不能简单地说‘长重短轻’,更不能绝对地说‘重音就是音强强,轻音就是音强弱’。
声调和语调尽管主要都与音高运动相关,而且共用同一个音高载体,那就是音节内部的基频-时间协变的函数;但是,它们却属于两个不同的音高运动体系。赵元任先生早就多次指出,声调和语调的音高运动是通过“代数和”关系和“橡皮带”伸缩原理实现同步叠加的(赵元任 1932,1959,1979)。譬如,1959 年,赵元任在台湾大学所作的《语言问题》讲演中,就具体讲解了两者为什么能够并存叠加的道理,他指出,“声调的升降是一个音节内部的变化,是调形,就是 contour;而语调是整个儿语句的乐调或是旋律,它的升降是调阶的高低,所谓叫 register”。
重音和语调的关系,既涉及两者音高运动的频率域分布的并存叠加,又涉及它们在时间域分布的并存叠加。赵元任的橡皮带伸缩效应比喻,就是对这种叠加原理的最简明而又通透的阐释。
结尾
最后,借用曹剑芬研究员的一段话总结:“声调研究是汉语里最早开展的韵律研究,比起节奏、重音和语调来,其历史最悠久,在学界的知晓度最高。而今,与声调相关的研究、特别是声调与语调的研究无比兴旺繁荣,不但研究队伍壮大,人才济济,而且理论模型异常丰富。既有语音学的,又有音系学的;既有基础理论研究的,又有应用研究的;既有单语研究的,又有不同类型语言的比较研究的。真是令人目不暇接、追赶不及啊!”

版权声明:本文内容由互联网用户自发贡献,该文观点仅代表作者本人。本站仅提供信息存储空间服务,不拥有所有权,不承担相关法律责任。如发现本站有涉嫌侵权/违法违规的内容,请联系我们,一经查实,本站将立刻删除。
如需转载请保留出处:https://51itzy.com/kjqy/15217.html