更多优质内容可关注公众号后查看,或点击下方搜索指引查看,供各位老师参考,感谢转发分享,让更多朋友受益,遇见是缘分,若不想擦肩而过,就赶快点下方主页,关注吧
讯享网主要文章有:中高考备考讲座,命题研究,解题技巧,学习方法,职业规划专题,初高中数学微课等文章,不说喽,自己去搜索探寻挖宝吧
师傅引进门,学习靠自己,关注了要时常翻阅。
初中数学解题研究群:
高中数学解题研究群:
广东省中山市中山纪念中学() 李文东
摘要 本文利用同构的思想解决了一些同时含指数和对数的函数中的求值,不等式的证明以及不等式恒成立求参数的取值范围和零点问题.
关键词 同构;指数;对数
数学中的同构式是指除了变量不同,而结构相同的两个表达式.数学中的同构式,它不仅体现了数学的对称和谐美,而且运用同构式的思想解题能够培养学生的转化和化归的思维能力.同时含有指数和对数的函数的问题是高考中的重点也是难点问题,此类问题常常在压轴题的位置出现,难度较大,而且直接求导后导函数往往比较复杂,只有少部分简单类型能够直接利用求导求解,其思考角度比较独特,由于x=logaax 和x= alogax (a >0 且a /=1),因此,指数和对数之间往往可以相互转化,通过适当的变形同构,可以很方便的解决一些同时含指数和对数函数的问题.
首先,我们给出本文将会用到的一些常见的指数式和对数式的同构类型.
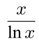
类型1 函数y= xex 与函数y= x ln x,它们可以从以下三个角度同构:
(1)将函数y= xex 变形为y=ex ln ex,与函数y=x ln x 同构;
(2)将函数y= x ln x 变形为y=(ln x)elnx,与函数y=xex 同构;
(3)将函数y= xex 与函数y= x ln x 分别取对数得:y=x+ln x 和y=ln x+ln(ln x),与函数y=x+ln x 同构.
类型2 函数y=
与函数y=
它可以从以下三个角度同构:
(1)将函数y=
变形为y=
与函数y=
同构;
(2)将函数y=
变形为y=
,与函数y=
同构;
(3)将函数
与函数
分别取对数得:y=x −ln x 和y=ln x −ln(ln x),与函数y=x −ln x 同构.
类型3 y=ex±x 与函数y= x±ln x,它可以从以下两个角度同构:
(1)将函数y=ex ±x 变形为y=ex ±ln ex,与函数y=x±ln x 同构;
(2)将函数y= x±ln x 变形为y=elnx ±ln x,与函数y=ex±x 同构.
除此以外,有时我们还需要对所求代数式两边适当添项或者同乘以某一个变量从而达到同构,下面举例说明同构式的应用.
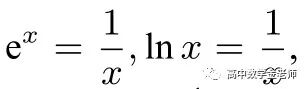
例1 若x1 满足方程xex=1,x2 满足方程x ln x=1,则x1x2=__.
解 由题意x2 ln x2=ln x2elnx2=1,且x2 >1,又x1ex1=1,令f(x)= xex,则有f(x1)= f(ln x2).显然f(x)在(0,+∞)上递增,故x1=ln x2,代入x2 ln x2=1 得x1x2=1.
评注 本题也可以如下求解: 由题意
然后在同一坐标系中画出函数y=ex,y=ln x,y=
的图像,根据y=ex 和y=ln x 的图像关于直线y=x 对称以及
自身图像关于直线y=x 对称可得x1x2=1,类似的问题如下面的例2.
例2 若x1 满足x+2x=5,x2 满足x+log2x=5,则x1+x2=__.
解 x2 + log2x2 −5=2log2x2 + log2x2 −5=0,x1 + 2x1 −5=0,令f(x)=2x + x −5,则f(x1)=f(log2x2)=0,显然f(x)递增,故x1=log2x2,于是x2+log2x2 −5=x1+x2 −5=0,即x1+x2=5.
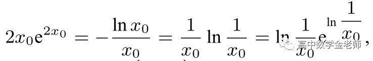
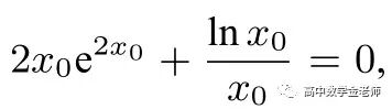
例3 若x0 满足2e2x0 +
=0,证明: x0e2x0=1.
证明 由2e2x0 +
=0 得
即
令h(x)=xex,则h(2x0)= h
显然h(x)在(0,+∞)上递增,可得
即
于是x0e2x0=1.
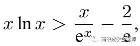
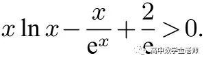
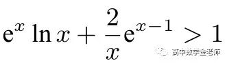
例4 (2014年高考全国新课标Ⅰ卷)证明: ex ln x +![]()
证明 易见,待证式等价于![]()
设函数g(x)= x ln x,则(−x)e−x=e−x ln e−x=g(e−x),于是待证式为: g(x)+ g(e−x)+
>0.由于g′(x)=1 + ln x.所以当x∈
时, g′(x) <0; 当
时, g′(x) >0.故g(x)在
上单调递减,在
上单调递增,从而g(x)在(0,+∞)上的最小值为
因为e−x∈(0,+∞),故当x=1 时, gmin(e−x)=
从而g(x)+ g(e−x)>
即g(x)+g(e−x)+
>0.
评注 本题常见的解法是将
变形为
然后证明左边函数的最小值大于等于右边函数的最大值,需要分别研究左右两边的函数,这里我们采用同构的做法,书写和运算更为简单,颇具新意.
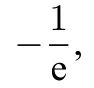
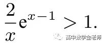
例5 (2015年高考全国Ⅰ卷文科第21 题)设函数f(x)=e2x −a ln x.
(Ⅰ)讨论f(x)的导函数f′(x)的零点的个数;
(ⅠⅠ)证明: 当a >0 时f(x)≥2a+![]()
解 (1)略. (2)要证: f(x)≥ 2a +
即e2x −a ln x≥
将其变形为
−ln x≥2+
进一步有: e2x−lna≥ 2 + ln 2x −ln a,继续变形同构:[e2x−lna −(2x −ln a)−1]+[eln 2x −ln 2x −1]≥ 0,令g(x)=ex −x −1,所证即为g(2x −ln a)+g(ln 2x)≥0,显然g(x)≥0 恒成立,故g(2x −lna)+g(ln 2x)≥0 成立,等号成立条件为2x −lna=ln 2x=0,即![]()
评注 本题常见的解法是采用零点的设而不求或者是变换主元法,仔细观察后适当变形是同构的关键.
例6 (2018年高考全国Ⅰ卷文科第21 题)已知函数f(x)=aex −ln x −1.
(1)设x=2 是f(x)的极值点,求a,并求f(x)的单调区间;
(2)证明: 当
时,f(x)≥0.
解 (1)略.(2)待证式为aex≥ln x+1,由于当
时, aex≥
只需证:
≥ln x + 1,即ex≥e ln ex,两边同乘以x 得: xex≥ex ln ex,即ex ln ex≥ex ln ex.令g(x)= x ln x,于是所证为g(ex)≥g(ex),由例4 知g(x)在
上单调递减,在
上单调递增.当x∈
时, g(ex) <0 <g(ex); 当x∈
时,根据g(x)递增知待证式为: ex≥ex.令h(x)=ex −ex
h′(x)=ex −e,可知h(x)在
递减,在(1,+∞)递增,故h(x)≥h(1)=0,从而原不等式成立.
例7 当x >0 时,不等式ex −x−1≥a[x −ln(x+1)]恒成立,求a 的取值范围.
解 令f(x)=ex −x −1,显然当x >0 时, f(x) >0且f(x)递增. x −ln(x+1)= x + 1 −ln(x+1) −1=eln(x+1) −ln(x+1) −1= f(ln(x+1)),于是不 等式ex −x −1≥a[x −ln(x+1)]即为: f(x)≥af(ln(x+1)).因为x >0,故ln(x+1) >0 且x >ln(x+1),根据f(x)递增知,f(x) >f(ln(x+1)),从而
>1,于是a≤1.
评注 本题若是采用一般求导求最值来求解,不胜其烦,而采用同构法则十分简便,值得我们细细品味!
例8 已知函数f(x)=axex −1,g(x)=ln x+kx.
(1)求g(x)的单调区间;

(2)若k=1,f(x)≥g(x)恒成立,求实数a 的取值范围.
解 (1)略.(2)当k=1 时, f(x)≥g(x)恒成立,即axex −1≥ln x + x 恒成立, aex+lnx −1≥ln x + x,令t=x+ln x,从而aet −1≥t ⇒a≥
由于et≥t+1,故
≤1,所求实数a 的取值范围为a≥1.
评注 本题也可以采用分离参数后虚设零点,然后用零点代换解决,做法也十分巧妙,读者不妨一试!
例9 试讨论函数f(x)=xex −a(x+ln x)的零点的个数.
解 f(x)=ex+lnx −a(x+ln x),令t= x + ln x,显然t 递增且t∈ (−∞,+∞),故t 与x 一一对应,于是f(x)= xex −a(x+ln x)的零点的个数即为f(t)=et −at的零点的个数.也为直线y= a 与y=
的交点的个数,结合函数y=
的图像不难得出函数f(x)的零点的个数情况: 当a∈(−∞,0)∪{e}时,f(x)有一个零点;当a∈[0,e)时,f(x)无零点;当a∈(e,+∞)时,f(x)有两个零点.
点评 本题也可以采用分离参数然后数形结合解决,这里利用同构法转化为复合函数的零点问题,提供了另外一个思考角度!
从以上问题可以看出,对于同时含有指数和对数的函数问题,我们可以根据函数结构式的特点,采用同构的思想来求解,这样能避免复杂的求导运算以及对函数单调性的讨论与分析,求解简洁快速,值得我们学习和研究.
中考备考讲座推荐阅读:轻点相应标题,即可阅读全文。
5:【中考复习专题讲座】看不见的圆
6:疫情反弹,居家学习必备:初中数学微课汇总(建议收藏)
8:学习方法:“初二”两极分化,请转给初二的家长和学子!
9:学习方法:”初三”天上地下,请转给初三的家长和学子!
10:学习方法:高中数学靠“悟”不靠“练”,在于“走心”但不能“心走”!
备考专题:中考数学数形结合思想
考前必看||中考数学备考策略及答题技巧
中考考前一周备考关键与备考提分的增长点
中考考前一周备考关键与备考提分的增长点
文章选自:高中数学金老师。更多优质资源可关注公众号后查看历史消息,妙解之慧由陕西西安孙冰钰老师创建专注分享初,高中数学优质资源,旨在:让全国各地的师生都能享受到同等优质的教育资源。平台所选文章贵在分享,公益传播,尊重原创,所选文章会注明作者姓名,来源,如不当,请文末添加微信联系处理,如转载,请注明来源。本平台:妙解之慧(ID:WanZhuanShuXue1)诚请高中数学教师、教研员和热爱数学的朋友不吝赐稿,与数学有关的内容都可以。来稿请注明姓名或者网名、工作单位,一般只接受word文档格式的电子稿件,文稿请认真审查,防止错漏,确保无误,文责自负。文稿可发在邮箱@.com或添加文末微信直接发给我,感谢各位朋友的鼓励与支持。
往期文章推荐:
为方便各位朋友学习,本平台提供部分文章的文档,具体下载方法,长按下方二维码,关注后,在公众号对话框回复:“文章下载”四个字,查看。

高考试卷被扫描后是什么样子的?学生:丢了多少冤枉分
张亚东:诗一般的数学美

李尚志教授:运算律主宰运算(附视频)
李勇衡水演讲:以改革的姿态迎接新考试改革((强基计划)含PPT)
追求诗意的数学教育(含PPT)
学习新教材,研究新教法(含PPT)
试题命制对数学教学的启示(含PPT)
听课:要想学习好,先把课听好
家里父亲种植的猕猴桃,每年八月中旬成熟,敬请期待,现在猕猴桃已经是毛茸茸的小果子了,全国包邮,可以先尝猕猴桃桃味后付款,父亲种植猕猴桃30多年了,用心做事,全在猕猴桃桃味上了。详情点下方链接


长按下方二维码即可识别,添加作者“微信”添加时请备注:地区身份,欢迎各位朋友,相识即是缘,感恩遇见


版权声明:本文内容由互联网用户自发贡献,该文观点仅代表作者本人。本站仅提供信息存储空间服务,不拥有所有权,不承担相关法律责任。如发现本站有涉嫌侵权/违法违规的内容,请联系我们,一经查实,本站将立刻删除。
如需转载请保留出处:https://51itzy.com/kjqy/147064.html