导读:即使是没有任何统计学基础的读者朋友可能也听说过「p 值」,但是鲜有文章能够清楚解释 p 值是什么,以及 p 值在统计学中的作用。本文是 TowardDataScience 的一篇博文,作者条理清楚地解释了 p 值的相关内容,并给出了一个简单的例子,适合读者参考。
参与:李诗萌、一鸣
- 假设检验;
- 正态分布;
- 什么是 p 值;
- 统计显著性。
-
假设检验 -
正态分布 -
p 值
-
零假设——平均配送时间小于等于 30 分钟; -
备择假设——平均配送时间大于 30 分钟。

-
68% 的数据在平均值(μ)±1 个标准差(σ)内; -
95% 的数据在平均值(μ)±2 个标准差(σ)内; -
99.7% 的数据在平均值(μ)±3 个标准差(σ)内。

p 值不能证明任何事。这只是一种根据惊讶程度做出合理决策的基础方法。 ——Cassie Kozyrkov
-
想象我们生活在平均配送时间小于等于 30 分钟的世界——因为我们信任披萨店(我们最初的信念)! -
分析收集的配送时间样本后,p 值为 0.03,低于 0.05 的置信水平(假设在实验之前就设置好了),因此可以说结果是具有「统计显著性」的。 -
因为我们一直相信披萨店可以在 30 分钟内配送披萨,现在需要考虑的是这一信念是否仍然有意义,因为结果告诉我们,披萨店没能兑现承诺,而且结果是具有统计学意义的。 -
那该怎么办?我们先试着用各种方法使初始信念(零假设)成立。但是因为披萨店的口碑越来越差,并且经常找导致配送延迟的借口,我们自己都觉得再相信披萨店是很可笑的事情,因此,我们决定拒绝零假设。 -
最终,我们做出了不再从这家披萨店买披萨的合理决定。
-
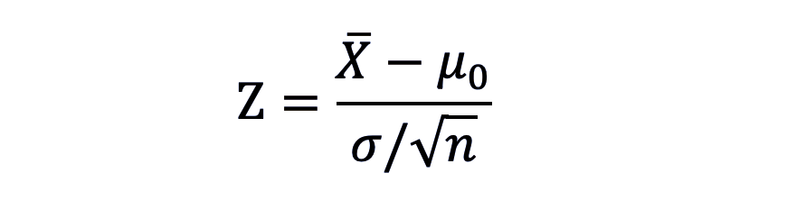
陈述零假设; -
陈述备择假设; -
确定 alpha 值; -
找到和 alpha 水平相关的 Z 分数; -
根据公式计算检验统计量; -
如果检验统计量的值比 alpha 水平的 Z 分数小(或 p 值小于 alpha 值),拒绝零假设。否则,接受零假设。
版权声明:本文内容由互联网用户自发贡献,该文观点仅代表作者本人。本站仅提供信息存储空间服务,不拥有所有权,不承担相关法律责任。如发现本站有涉嫌侵权/违法违规的内容,请联系我们,一经查实,本站将立刻删除。
如需转载请保留出处:https://51itzy.com/kjqy/143436.html