
讯享网
对于诸位「MLer」而言,梯度下降这个概念一定不陌生,然而从直观上来看,梯度下降的复杂性无疑也会让人「敬而远之」。 本文作者 Suraj Bansal 通过对梯度下降背后的数学原理进行拆解,并配之以简单的现实案例,以轻松而有趣的口吻带大家深入了解梯度下降这一在机器学习领域至关重要的方法。
https://www.datadriveninvestor.com/2019/03/03/editors-pick-5-machine-learning-books/
权重向量存在于 x-y 平面中,将对应每个权重的损失函数的梯度与学习率相乘,然后用向量减去二者的乘积。
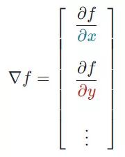
想象自己站在函数 f 以一定间隔排列的点(x0,y0…)之中。向量∇f(x0,y0…)将识别出使 f函数值增加的最快行进方向。有趣的是,梯度矢量∇f(x0,yo…)也垂直于函数 f 的轮廓线!
下面的公式将 x 表示为输入的训练数据(参数为单变量或单输入变量),假设进行了监督学习,则 y 表示数据的标签。
本文来源于网络,原文请点击左下角阅读原文观看,如有侵权立即删除。
编辑 /Garvey
审核 / 范瑞强
复核 / Garvey
点击下方
关注我们

版权声明:本文内容由互联网用户自发贡献,该文观点仅代表作者本人。本站仅提供信息存储空间服务,不拥有所有权,不承担相关法律责任。如发现本站有涉嫌侵权/违法违规的内容,请联系我们,一经查实,本站将立刻删除。
如需转载请保留出处:https://51itzy.com/kjqy/139495.html