原文链接:http://www.huajianlian.cn/#/vue3-knowledge-app/knowledge/detail?id=

讯享网
华建联共享平台
GB 50318-2017 城市排水工程规划规范
中华人民共和国住房和城乡建设部 批准部门:中华人民共和国住房和城乡建设部 施行日期:2 0 17年7月1日
1总 则
1.0.1为保障城市水安全,提高水资源利用效率,促进水生态 环境改善,统一城市排水工程规划的技术要求,制定本规范。
1.0.2本规范适用于城市规划的排水工程规划和城市排水工程 专项规划的编制。
1.0.3城市排水工程规划应遵循“统筹规划、合理布局、综合 利用、保护环境、保障安全”的原则,满足新型城镇化和生态文 明建设的要求。
1.0.4城市排水工程规划除应符合本规范外,尚应符合国家现 行有关标准的规定。
2术 语
2.0. 1 城市雨水系统 urban drainage system
收集、输送、调蓄、处置城市雨水的设施及行泄通道以一定 方式组合成的总体,包括源头减排系统、雨水排放系统和防涝系 统三部分。
2. 0. 2 源头减排系统 source control drainage system
场地开发过程中用于维持场地开发前水文特征的生态设施以 一定方式组合的总体。
2. 0. 3 雨水排放系统 minor drainage system
应对常见降雨径流的排水设施以一定方式组合成的总体,以 地下管网系统为主。亦称“小排水系统”。
2. 0.4防涝系统 major drainage system
应对内涝防治设计重现期以内的超出雨水排放系统应对能力 的强降雨径流的排水设施以一定方式组合成的总体。亦称“大排 水系统”O
2. 0. 5 防涝行泄通道 excess stormwater pathway
承担防涝系统雨水径流输送和排放功能的通道,包括城市河 道、明渠、道路、隧道、生态用地等。
2. 0. 6 城市防涝空间 space for local flooding control
用于城市超标降雨的防涝行泄通道和布置防涝调蓄设施的用 地空间,包括河道、明渠、隧道、坑塘、湿地、地下调节池 (库)和承担防涝功能的城市道路、绿地、广场、开放式运动场 等用地空间。
2. 0. 7 防涝调蓄设施 storage and detention facilities for local flooding
用于防治城市内涝的各种调节和储蓄雨水的设施,包括坑 塘、湿地、地下调节池(库)和承担防涝功能的绿地、广场、开 放式运动场地等。
2. 0. 8 合流制排水系统 combined system
将雨水和污水统一进行收集、输送、处理、再生和处置的排 水系统。
3基本规定
3.1 一般规定
3.1.1城市排水工程规划的主要内容应包括:确定规划目标与 原则,划定城市排水规划范围,确定排水体制、排水分区和排水 系统布局,预测城市排水量,确定排水设施的规模与用地、雨水 滞蓄空间用地、初期雨水与污水处理程度、污水再生利用和污水 处理厂污泥的处理处置要求。
3.1.2城市排水工程规划期限宜与城市总体规划期限一致。 城市排水工程规划应近、远期结合,并兼顾城市远景发展的 需要。
3.1.3城市排水工程规划应与城市道路、竖向、防洪、河湖水 系、给水、绿地系统、环境保护、管线综合、综合管廊、地下空 间等规划相协调。
3.1.4城市建设应根据气候条件、降雨特点、下垫面情况 等,因地制宜地推行低影响开发建设模式,削减雨水径流、 控制径流污染、调节径流峰值、提高雨水利用率、降低内涝 风险。
3.2排水范围
3.2.1城市排水工程规划范围,应与相应层次的城市规划范围 一致。
3.2.2城市雨水系统的服务范围,除规划范围外,还应包括其 上游汇流区域。
3.2.3城市污水系统的服务范围,除规划范围外,还应兼顾距 离污水处理厂较近、地形地势允许的相邻地区,包括乡村或独立 居民点。
3.3排水体制
3.4排水受纳水体
3.5排水管渠
3.5.1排水管渠应以重力流为主,宜顺坡敷设。当受条件限制 无法采用重力流或重力流不经济时,排水管道可采用压力流。
3.5.2城市污水收集、输送应采用管道或暗渠,严禁采用明渠。 3. 5.3排水管渠应布置在便于雨、污水汇集的慢车道或人行道 下,不宜穿越河道、铁路、高速公路等。截流干管宜沿河流岸线 走向布置。道路红线宽度大于40m时,排水管渠宜沿道路双侧 布置。
3.5.4规划有综合管廊的路段,排水管渠宜结合综合管廊统一 布置。
3. 5.5排水管渠断面尺寸应按设计流量确定。
3.5.6排水管渠出水口内顶高程宜高于受纳水体的多年平均水 位。有条件时宜高于设计防洪(潮)水位。
3.6排水系统的安全性
3.6.1排水工程中的厂站不应设置在不良地质地段和洪水淹没 区。确需在不良地质地段和洪水淹没区设置时,应进行风险评估 并采取必要的安全防护措施。
3.6.2排水工程中厂站的抗震和防洪设防标准不应低于所在城 市相应的设防标准。
3. 6.3排水管渠出水口应根据受纳水体顶托发生的概率、地区 重要性和积水所造成的后果等因素,设置防止倒灌设施或排水 泵站。
3. 6.4雨水管道系统之间或合流管道系统之间可根据需要设置 连通管,合流制管道不得直接接入雨水管道系统,雨水管道接入 合流制管道时,应设置防止倒灌设施。
3. 6.5排水管渠系统中,在排水泵站和倒虹管前,应设置事故 排出口。
4污水系统
4.1排水分区与系统布局
4.1.1城市污水分区与系统布局应根据城市的规模、用地规划 布局,结合地形地势、风向、受纳水体位置与环境容量、再生利 用需求、污泥处理处置出路及经济因素等综合确定。
4.1.2城市污水处理厂可按集中、分散或集中与分散相结合的 方式布置,新建污水处理厂应含污水再生系统。独立建设的再生 水利用设施布局应充分考虑再生水用户及生态用水的需要。
4.1.3再生水利用于景观环境、河道、湿地等生态补水时,污 水处理厂宜就近布置。
4.1.4污水收集系统应根据地形地势进行布置,降低管道埋深。
4.2污水量
4.2.1城市污水量应包括城市综合生活污水量和工业废水量。 地下水位较高的地区,污水量还应计入地下水渗入量。
4. 2. 2城市污水量可根据城市用水量和城市污水排放系数确定。
5. 2.3各类污水排放系数应根据城市历年供水量和污水量资料 确定。当资料缺乏时,城市分类污水排放系数可根据城市居住和 公共设施水平以及工业类型等,按表4. 2. 3的规定取值。
表4.2.3城市分类污水排放系数
| 城市污水分类 | 污水排放系数 |
|---|---|
| 城市污水 | 0. 70—0. 85 |
| 城市综合生活污水 | 0. 80—0. 90 |
| 城市工业废水 | 0. 60〜0. 80 |
注:城市工业废水排放系数不含石油和天然气开采业、煤炭开采和洗选业、其他 采矿业以及电力、热力生产和供应业废水排放系数,其数据应按厂、矿区的 气候、水文地质条件和废水利用、排放方式等因素确定。
7. 2.4地下水渗入量宜根据实测资料确定,当资料缺乏时,可 按不低于污水量的10%计入。
4.2.5城市污水量的总变化系数,应按下列原则确定:
1城市综合生活污水量总变化系数,应按现行国家标准 《室外排水设计规范》GB 50014确定。
2工业废水总变化系数,应根据规划城市的具体情况,按 行业工业废水排放规律分析确定,或根据条件相似城市的分析结 果确定。
4.3污水泵站
4.3.1污水泵站规模应根据服务范围内远期最高日最高时污水 量确定。
4.3.2污水泵站应与周边居住区、公共建筑保持必要的卫生防 护距离。防护距离应根据卫生、环保、消防和安全等因素综合 确定。
4.3.3污水泵站规划用地面积应根据泵站的建设规模确定,规 划用地指标宜按表4. 3. 3的规定取值。
表4.3.3污水泵站规划用地指标

| 建设规模(万m3/d) | >20 | 10—20 | 1〜10 |
|---|---|---|---|
| 用地指标(m2) | 3500〜7500 | 2500〜3500 | 800〜2500 |
注:
1. 用地指标是指生产必需的土地面积。不包括有污水调蓄池及特殊用地要求 的面积。
2. 本指标未包括站区周围防护绿地。
4.4污水处理厂
- 便于污水再生利用,并符合供水水源防护要求。
- 城市夏季最小频率风向的上风侧。
- 与城市居住及公共服务设施用地保持必要的卫生防护 距离。
- 工程地质及防洪排涝条件良好的地区。
- 有扩建的可能。
4.4.3城市污水处理厂规划用地指标应根据建设规模、污水水 质、处理深度等因素确定,可按表4. 4.3的规定取值。设有污泥 处理、初期雨水处理设施的污水处理厂,应另行增加相应的用地面积。

注:
1.表中规划用地面积为污水处理厂围墙内所有处理设施、附属设施、绿化、 道路及配套设施的用地面积。
2.污水深度处理设施的占地面积是在二级处理污水厂规划用地面积基础上新 增的面积指标。
3.表中规划用地面积不含卫生防护距离面积。
4.4.4污水处理厂应设置卫生防护用地,新建污水处理厂卫生 防护距离,在没有进行建设项目环境影响评价前,根据污水处理 厂的规模,可按表4. 4.4控制。卫生防护距离内宜种植高大乔 木,不得安排住宅、学校、医院等敏感性用途的建设用地。
表4. 4.4城市污水处理厂卫生防护距离

注:卫生防护距离为污水处理厂厂界至防护区外缘的最小距离。
4. 4.5排入城市污水管渠的污水水质应符合现行国家标准《污 水排入城镇下水道水质标准》GB/T 31962的要求。
4. 4.6城市污水的处理程度应根据进厂污水的水质、水量和处 理后污水的出路(利用或排放)及受纳水体的水环境容量确定。 污水处理厂的岀水水质应执行现行国家标准《城镇污水处理厂污 染物排放标准》GB 18918,并满足当地水环境功能区划对受纳 水体环境质量的控制要求。
4.5污水再生利用
4.5.1城市污水应进行再生利用。再生水应作为资源参与城市 水资源平衡计算。
4. 5.2城市污水再生利用于城市杂用水、工业用水、环境用水 和农、林、牧、渔业等用水时,应满足相应的水质标准。
4. 5.3再生水管网水力计算应按压力流管网的参数确定。
4.6污泥处理与处置
4. 6.1城市污水处理厂的污泥应进行减量化、稳定化、无害化、 资源化的处理和处置。
4. 6.2污水处理厂产生的污泥量,可结合当地已建成污水厂实 际产泥率进行预测;无资料时可结合污水水质、泥龄、工艺等因 素,按处理万立方米污水产含水率80%的污泥6t〜9t估算。
4. 6.3污泥处理处置设施宜采用集散结合的方式布置。应规划 相对集中的污泥处理处置中心,也可与城市垃圾处理厂、焚烧厂 等统筹建设。
4. 6.4采用土地利用、填埋、焚烧、建筑材料综合利用等方式 处理处置污泥时,污泥的泥质应符合国家现行相关标准的规定, 确保环境安全。
5雨水系统
5.1排水分区与系统布局
5.1.1雨水的排水分区应根据城市水脉格局、地势、用地布局, 结合道路交通、竖向规划及城市雨水受纳水体位置,遵循高水高 排、低水低排的原则确定,宜与河流、湖泊、沟塘、洼地等天然 流域分区相一致。
5.1.2立体交叉下穿道路的低洼段和路堑式路段应设独立的雨 水排水分区,严禁分区之外的雨水汇入,并应保证出水口安全 可靠。
5.1.3城市新建区排入已建雨水系统的设计雨水量,不应超出 下游已建雨水系统的排水能力。
5.1.4源头减排系统应遵循源头、分散的原则构建,措施宜按 自然、近自然和模拟自然的优先序进行选择。
5.1.5雨水排放系统应按照分散、就近排放的原则,结合地形 地势、道路与场地竖向等进行布局。
5.1. 6城市总体规划应充分考虑防涝系统蓄排能力的平衡关系, 统筹规划,防涝系统应以河、湖、沟、渠、洼地、集雨型绿地和 生态用地等地表空间为基础,结合城市规划用地布局和生态安全 格局进行系统构建。控制性详细规划、专项规划应落实具有防涝 功能的防涝系统用地需求。
5.2雨水量
5.2.1城市总体规划应按气候分区、水文特征、地质条件等确 定径流总量控制目标;专项规划应将城市的径流总量控制目标进 行分解和落实。
5.2.2采用数学模型法计算雨水设计流量时,宜采用当地设计 暴雨雨型。设计降雨历时应根据本地降雨特征、雨水系统的汇水 面积、汇流时间等因素综合确定,其中雨水排放系统宜采用短历 时降雨,防涝系统宜釆用不同历时的降雨。
5.2.3设计暴雨强度,应按当地设计暴雨强度公式计算,计算 方法按现行国家标准《室外排水设计规范》GB 50014中的规定 执行。暴雨强度公式应适时进行修订。
5.2.4综合径流系数可按表5.2.4的规定取值。城市开发建设 应采用低影响开发建设模式,降低综合径流系数。

5.2.5设计重现期应根据地形特点、气候条件、汇水面积、汇 水分区的用地性质(重要交通干道及立交桥区、广场、居住区) 等因素综合确定,在同一排水系统中可采用不同设计重现期,重 现期的选择应考虑雨水管渠的系统性;主干系统的设计重现期应 按总汇水面积进行复核。设计重现期取值,按现行国家标准《室 外排水设计规范》GB 50014中关于雨水管渠、内涝防治设计重 现期的相关规定执行。
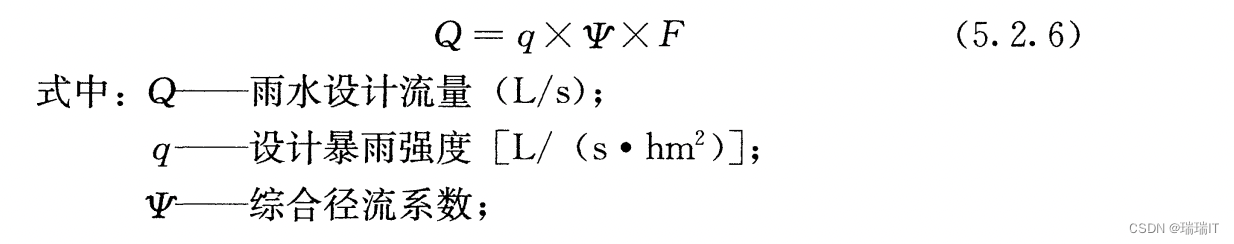
5.2.6雨水设计流量应釆用数学模型法进行校核,并同步确定 相应的径流量、不同设计重现期的淹没范围、水流深度及持续时 间等。当汇水面积不超过2km2时,雨水设计流量可采用推理公 式法按下式计算。


5.3城市防涝空间
5.3.1城市新建区域,防涝调蓄设施宜釆用地面形式布置。建 成区的防涝调蓄设施宜采用地面和地下相结合的形式布置。
5.3.2具有防涝功能的用地宜进行多用途综合利用,但不得影 响防涝功能。
5.3.3城市防涝空间规模计算应符合下列规定:
1防涝调蓄设施(用地)的规模,应按照建设用地外排雨 水设计流量不大于开发建设前或规定值的要求,根据设计降雨过 程变化曲线和设计岀水流量变化曲线经模拟计算确定。
2城市防涝空间应按路面允许水深限定值进行推算。道路 路面横向最低点允许水深不超过30cm,且其中一条机动车道的 路面水深不超过15cm。
5.4雨水泵站
5.4.1当雨水无法通过重力流方式排除时,应设置雨水泵站。
5.4.2雨水泵站宜独立设置,规模应按进水总管设计流量和 泵站调蓄能力综合确定,规划用地指标宜按表5.4.2的规定 取值。

5.5雨水径流污染控制
6合流制排水系统
6.1排水分区与系统布局
6.1.1合流制排水系统的分区与布局应综合考虑污水的收集、 处理与再生回用,以及雨水的排除与利用等方面的要求。
6.1.2合流制排水系统的分区应根据城市的规模与用地布局, 结合地形地势、道路交通、竖向规划、风向、受纳水体位置与环 境容量、再生利用需求、污泥处理处置出路及经济因素等综合确 定,并宜与河流、湖泊、沟塘、洼地等的天然流域分区相一致。
6.1.3合流制收集系统应根据地形地势进行布置,降低管道 埋深。
6. 2合流水量
6.3合流泵站
6.3.1合流泵站的规模应按规划远期的合流水量确定。
6. 3. 2合流泵站的规划用地指标可按表5. 4. 2的规定取值。
6.4合流制污水处理厂
6. 4.1合流制污水处理厂的规模应按规划远期的合流水量确定。 6. 4.2合流制污水处理厂的规划用地,宜参照表4. 4.3的指标 值计算,并考虑截流雨水量的调蓄空间用地需求综合确定。
6.5合流制溢流污染控制
6.5.1合流制区域应优先通过源头减排系统的构建,减少进入 合流制管道的径流量,降低合流制溢流总量和溢流频次。
6.5.2合流制排水系统的溢流污水,可采用调蓄后就地处理或 送至污水厂处理等方式,处理达标后利用或排放。就地处理应结 合空间条件选择旋流分离、人工湿地等处理措施。
6.5.3合流制排水系统调蓄设施宜结合泵站设置,在系统中段 或末端布置,应根据用地条件、管网布局、污水处理厂位置和环 境要求等因素综合确定。
6.5.4合流制排水系统调蓄设施的规模,应根据当地降雨特征、 合流水量和水质、管道截流能力、汇水面积、场地空间条件和排 放水体的水质要求等因素综合确定,计算方法按现行国家标准 《室外排水设计规范》GB 50014中的规定执行,占地面积应根据 调蓄池的调蓄容量和有效水深确定。
7监控与预警
7.0.1城市雨水、污水系统应设置监控系统。在排水管网关键 节点宜设置液位、流量和水质的监测设施。
7. 0. 2城市雨水工程规划和污水工程规划应确定重点监控区域, 提岀监控内容和要求。污水工程专项规划应提出再生水系统、污 泥系统的监控内容和要求。
7. 0.3应根据城市内涝易发点分布及影响范围,对城市易涝点、 易涝地区和重点防护区域进行监控。
版权声明:本文内容由互联网用户自发贡献,该文观点仅代表作者本人。本站仅提供信息存储空间服务,不拥有所有权,不承担相关法律责任。如发现本站有涉嫌侵权/违法违规的内容,请联系我们,一经查实,本站将立刻删除。
如需转载请保留出处:https://51itzy.com/kjqy/127251.html