低速转向
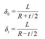
低速转向时,轮胎不需要产生侧向力。这种情况下,轮胎滚动时没有侧偏角,此时,车辆如下图所示进行转向。如果后轮没有转向,则转向中心一定在后车轴的延长线上,同样,垂直于每个前轮的直线也须通过同一点(转向中心),如果不通过同一点,则转向时候两个前轮会彼此干涉,导致他们轻微的刮磨,前轮理想转向角可以依据图中的几何关系和对转向时给定的转向角来确定

讯享网
根据转向时的几何关系,由于驾驶的转向角非常的小,R远远大于t所以,近似tanδ=sinδ=δ,转向中心到质心的距离近似等于转向中心到后轴中心的距离。因此,可以得出转向角公式为

前轮的平均角度(假定小转向角)定义为阿克曼角
高速转向
高速转向时,因侧向加速度的出现,使得转向方程与低速转向时不一样。为平衡侧向加速度的影响,各轮胎必然产生侧向力,且每个车轮产生侧偏角。
轮胎的侧偏力、侧偏角

转向状况下,轮胎必须产生侧向力,同时,轮胎滚动时,也会产生侧偏。轮胎朝前方向与行驶方向之间的夹角,称为侧偏角,为α。侧向力Fy称为“侧偏力”。当轮胎载荷一定时,侧偏力随侧偏角的增大而增大。侧偏角较小时,侧偏力与侧偏角呈线性关系,即Fy=Cα,比例常数C称为侧偏刚度。侧偏刚度受许多因素的影响。轮胎的尺寸、类型、宽度是主要的变量。对于给定的轮胎,轮胎载荷和充气压力是主要的变量。速度不会强烈地影响轮胎产生的侧偏力。

转向方程式
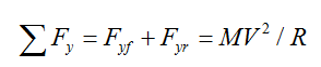
稳态转向方程可以根据牛顿第二定律以及描述转向时几何关系的方程导出。为便于分析,将车辆表示为如图所示的两轮(自行车)模型。高速行驶时的转向半径远大于车辆的轴距,这样就加上转向角为一小角度,同时可以忽略前轴内、外侧车辆的转角差,因此,为方便两个前轮可以用转角为δ的一个车轮表示,并且认为左右车轮的侧偏力是相等的。对于后轮,做同样的假设。

对于车速为V向前行驶的车辆,作用于轮胎所有侧向力的和等于质量乘以向心加速度,即

Fyf------作用于前轴的侧向(侧偏)力
Fyr------作用于后轴的侧向(侧偏)力
M------车辆的质量
V------前进速度
R------转向半径
同样,对车辆重心的力矩也应平衡,即作用于前后轴侧向力所产生的力矩之和应该为零,即

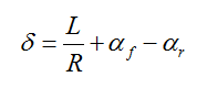
则,可以推出:

由上图可知:

综合上述公式可推出:

δ——前轮转向角
L——轴距
R——转向半径
V——前进速度
g——重力加速度
Wf——前轴静态载荷
Wr——后轴静态载荷
Cf——两个前轮胎的侧偏刚度
Cr——两个后轮胎的侧偏刚度
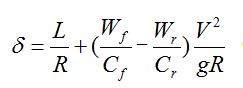
上式通常写为如下的形式:

K——不足转向梯度
ay——侧向加速度
上述方程对机动车辆转向特性相当重要。该式描述了车辆转向角是如何随转向半径R或者侧向加速度V2/R变化的,而K这一项确定了所需要的转向输入的大小和方向,它包含两项,每一项都是相应轴荷与车轴上轮胎侧偏刚度的比重。它称为“转向不足梯度”,K有三种取值的可能性:
1、中性转向:K=0推出:αf =αr。物理意义是,中性转向情况相应于车辆质心处侧向加速度的“力”在前后轮所产生的侧偏角相等时的一种平衡状态。
2、不足转向:K>0推出:αf >αr.。转向角随侧向加速度,和车速的平方呈线性关系增长。在转向不足情况下,因质心处侧向加速度而产生的前轮侧向滑动的程度要大于后轮。为维持转向半径不变,须使前轮的侧向力达到一定的值,前轮需要转更大的转角。
3、过多转向:K<0推出:αf <αr。这种情况下,质心处侧向加速度使得后轮的侧偏角大于前轮。车辆后部向外滑动从而减小了转向半径。随着侧向加速度的增加进一步加剧了后轮向外滑动,除非减小转向角以保持转向半径不变,否则这一过程将一直持续下去。为加深理解,如下图所示

低速情况下,假设前后轮都没有侧偏角,则转向的中心在O0处。当前轮的侧偏角大于后轮的侧偏角的时候,我们可以假设前轮有侧偏角,而后轮为0,通过画图,则转向的中心在O1处,转向不足。(转弯的半径变大)同理,假设后轮有侧偏角,而前轮为0,通过画图,则转向的中心在O2处,转向过度。(转弯的半径变小)。
版权声明:本文内容由互联网用户自发贡献,该文观点仅代表作者本人。本站仅提供信息存储空间服务,不拥有所有权,不承担相关法律责任。如发现本站有涉嫌侵权/违法违规的内容,请联系我们,一经查实,本站将立刻删除。
如需转载请保留出处:https://51itzy.com/kjqy/127047.html