以前背过正弦函数的求导公式,就是sin'x = cos x,可是总也没推导过。这两天看了很多网上的推导做法,简直是误人子弟。含糊不清的,曲线救国的,各种做法满天飞,也是好笑。在这儿,我尽量地再仔细地推导一遍,本着“为往圣继绝学”的远大理想,为伟大的科普事业添砖加瓦罢。
函数式求导公式的推导是有一个基本原则的:用极限的手段,推导函数式在自变量变化的同时,因变量的变化趋势。用几何中的说法就是,导式就是斜率的函数式。
废话不多说,以下正弦函数的求导公式证明,会用到导数的定义、三角函数的部分推导式、三角函数的几何特性和高等数学的夹逼定理等手段,来做一次“步骤无跳跃”的推导。
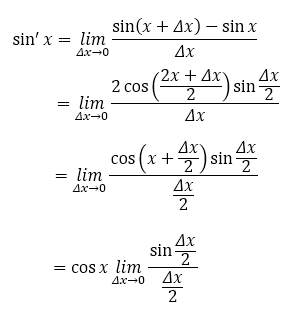
第一阶段的推导:
上图中第一行是求导公式的定义,第二行是借助了三角函数的和差化积公式(如下)

第三行是简单化简,第四行推导的理由是第三行中的因式可如下推导

至此,第一阶段推导的结果归结到求下式的值

这个式子的值等价于

这个式子中除了△x外并没有其他变量,所以这个式子的值是一个常数(其实就是sin’(0)的值)。求得这个常数,就能得到正弦公式的导式了,我们把这个求值过程交给第二阶段来做。
第二阶段的求解:
其实第一阶段最后的式子,是需要使用夹逼定理和一些几何特性来证明的,不可以用任何微积分的结果来证明这个式子的值。
我不重复解释夹逼定理了,直接搬来维基的答案,如下:


怎么样,这份答案够详细了吧。不过啊不过,这份维基的推导中,有一行,我是无论如何都没弄明白为啥会直接列出来,就是那句arcAD
那么,有没有严谨的做法来证明:当0
第三阶段的证明:
想要证明线段AE比弧AD长呢,需要先做一条辅助线,做法是过D点做一条线段与OD垂直且与线段AE交于点I,得到一条线段ID,如下图:

注意,图中三角形IDE是一个直角三角形,其中∠IDE是直角,根据直角三角形特性斜边长于直角边可得IE>ID,所以,AE = AI + IE > AI + ID。那么,证明AI + ID大于弧AD就可以了。
从直觉来说,我觉得AI + ID是大于弧AD的,但是,就像上面说的,数学求解是不能靠直觉的,那怎么办呢?有办法,看下图:

连接IO,交弧AD于点J,然后过J做弧AD的切线交AI和ID于点K、L,于是得到上图。从这个图里容易得到一个结论:AI + ID > AK + KJ + JL + LD(在三角形KIL中,利用两点之间线段最短原理可得)。
直觉告诉我AK + KJ + JL + LD还是长于弧AD的,可我还是得继续证明才行。所以,我在四边形AOJK和四边形DOJL中重复刚才在四边形AODI中的做辅助线的做法,继续绘制辅助线,可以得到新的四个子四边形,然后再在新的子四边形中重复做辅助线的做法,可以得到新的八个子四边形,然后再在新的子四边形中重复做辅助线的做法,可以得到新的十六个子四边形……当我画到1024个子四边形的时候,我的眼睛,我的胃,我的手,我的腰,都感觉到强烈的不适,上吐下泻涕泗横流啊……
然而,我发现直觉总是成立的。每条新做的切线的连线都比上一次的辅助切线要短,而且切线连起来越来越逼近弧AD了。
随着脑海中一句“智商上线中”的弹幕闪过,我想起了一个数学家的名字——刘徽。这位数学大佬的经典之一就是发明了割圆术。
回过头来看,一遍遍画辅助线的做法不正是在割圆么?根据极限的思路,辅助线画到无穷遍的时候,切线之和自然就是弧长了啊。
于是倒推回来可证,弧长AD < AI + ID,于是,第三阶段得证。
The end.

版权声明:本文内容由互联网用户自发贡献,该文观点仅代表作者本人。本站仅提供信息存储空间服务,不拥有所有权,不承担相关法律责任。如发现本站有涉嫌侵权/违法违规的内容,请联系我们,一经查实,本站将立刻删除。
如需转载请保留出处:https://51itzy.com/kjqy/125500.html