目录
Z1.1信号的分类:确定与随机,连续与离散
1.确定信号与随机信号
2.连续信号和离散信号
Z1.2 信号的分类:周期与非周期
1.连续信号的周期
2.离散信号的周期
Z1.3 信号的分类:能量与功率信号,因果与反因果
1.能量信号和功率信号
2.因果信号和反因果信号
Z1.4阶跃信号
1.定义
Z1.1信号的分类:确定与随机,连续与离散
1.确定信号与随机信号
确定信号:可用确定时间函数表示的信号。//可以表示出来的函数。例如:f(x)、f(t)、u(t)...
随机信号:信号不能用确切的函数描述,只能知道他的统计特性比如概率,例如:电子系统中的起伏热噪声、雷电干扰信号。
2.连续信号和离散信号
连续时间信号:连续时间范围内(-∞<t<∞)有定义的信号,简称连续信号;若其函数值也连续,常称为模拟信号。
离散时间信号:仅在一些离散的瞬间才有定义的信号,简称离散信号;当取值为规定数值时,常称为数字信号。
讯享网

上图f(t)仅在一些离散时刻t(k=0,±1,±2,...)有定义,其余时间无定义。
相邻离散点的间隔
通常取等间隔T,离散信号可表示为f(kT),简写为f(k),这种等间隔的离散信号也常称为序列。其中k称为序号。
Z1.2 信号的分类:周期与非周期
周期信号是定义在(-∞,∞)区间,每隔一定时间T(或整数N),按相同规律重复变化的信号。
不具有周期性的信号成为非周期信号。
1.连续信号的周期
连续周期信号f(t),周期为T,满足
f(t)=f(t+mT),m=0,±1,±2,±3,....
典型周期连续信号:余弦信号cosωt
周期T=2Π/ω(s)
当两个信号的周期为
和
,若
/
为有理数,则周期信号之和任然是周期信号,其周期为
和
的最小公倍数。



2.离散信号的周期
定义:离散周期信号f(k),周期为N,满足下式:
f(k)=f(k+mN),m=0,±1,±2,...
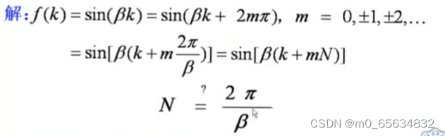
例2 判断正弦序列f(k) = sin(βk)是否为周期信号,若是,确定其周期,式中β称为数字角频率,单位:rad。

结论:
■当2π/β为整数时,正弦序列具有周期N= 2π/β;
■当2π/β为有理数时,正弦序列仍具有周期性,但其周期为N=M(2π/β),M取值使N为整数的最小整数;
■当2元/B为无理数时,正弦序列为非周期序列。

结论:
①连续正弦信号一定是周期信号,而正弦序列不一定是周期序列。
②两连续周期信号之和不一定是周期信号,而两周期序列之和一定是周期序列。
Z1.3 信号的分类:能量与功率信号,因果与反因果
1.能量信号和功率信号
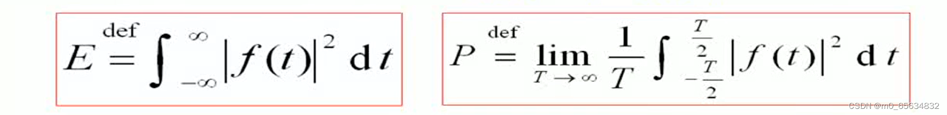
将信号f(t)施加于1Ω电阻上,它所消耗的瞬时功率为|f(t)|²,在区间(-∞,∞)的能量和平均功率定义为 
能量有限信号:信号的能量E<∞,简称能量信号,此时P=0;
能量功率信号:信号的功率P<∞,简称功率信号,此时E=∞;
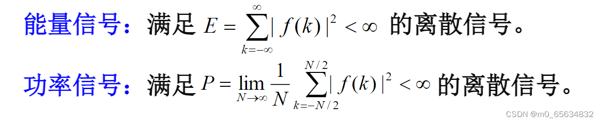
对于离散信号,也有能量信号、功率信号之分。

结论:
(1)时限信号(仅在有限时间区间不为零)为能量信号;
(2)周期信号属于功率信号;
(3)非周期信号可能是功率信号,也可能是能量信号;
(4)有些信号既不是能量信号也不是功率信号,如
。
2.因果信号和反因果信号
*因果信号:t<0,f(0)=0的信号f(t)[即t=0时接入系统的信号],比如阶跃信号。
*反因果信号:t≥0,f(t)=0的信号(除0信号外)。
*还有其他分类,如一维信号和多维信号;实信号与复信号;左边信号和右边信号等等。
Z1.4阶跃信号
1.定义
选定一个函数序列
(t),求极限

版权声明:本文内容由互联网用户自发贡献,该文观点仅代表作者本人。本站仅提供信息存储空间服务,不拥有所有权,不承担相关法律责任。如发现本站有涉嫌侵权/违法违规的内容,请联系我们,一经查实,本站将立刻删除。
如需转载请保留出处:https://51itzy.com/kjqy/125062.html