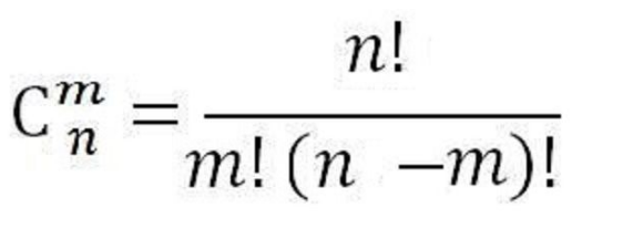
概率组合C(m,n)的计算公式为:
举例:

扩展资料:

从n个不同元素中,任取m(m≤n)个元素并成一组,叫做从n个不同元素中取出m个元素的一个组合;从n个不同元素中取出m(m≤n)个元素的所有组合的个数,叫做从n个不同元素中取出m个元素的组合数。
组合c的计算公式概率组合 C m n 的计算公式为 举例 扩展资料 从 n 个不同元素中 任取 m m n 个元素并成一组 叫做从 n 个不同元素中取出 m 个元素的一个组合 从 n 个不同元素中取出 m m n 个元素的所有组合的个数 叫做从 n 个不同元素中取出 m 个元素的组合数
概率组合C(m,n)的计算公式为:
举例:

扩展资料:

从n个不同元素中,任取m(m≤n)个元素并成一组,叫做从n个不同元素中取出m个元素的一个组合;从n个不同元素中取出m(m≤n)个元素的所有组合的个数,叫做从n个不同元素中取出m个元素的组合数。
版权声明:本文内容由互联网用户自发贡献,该文观点仅代表作者本人。本站仅提供信息存储空间服务,不拥有所有权,不承担相关法律责任。如发现本站有涉嫌侵权/违法违规的内容,请联系我们,一经查实,本站将立刻删除。
如需转载请保留出处:https://51itzy.com/kjqy/122911.html