误差的来源
- 模型误差(也称描述误差)
- 观测误差(也称数据误差)
- 截断误差(也称方法误差)
- 舍入误差(也称计算误差)
误差
定义1:设 x x x 是准确值, x ∗ x^* x∗是 x x x的一个近似值,称
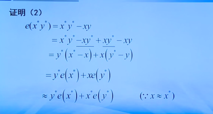
e ( x ∗ ) = x ∗ − x e(x^*)=x^*-x e(x∗)=x∗−x 或 e ∗ = x ∗ − x e^*=x^*-x e∗=x∗−x
为近似数 x ∗ x^* x∗ 的绝对误差,简称 误差
缺点:不能反映近似值的程度!
定义2:设 x x x 是准确值, x ∗ x^* x∗是 x x x的一个近似值,称
e r ( x ∗ ) = e ∗ x = x ∗ − x x e_r(x^*) = \frac{e^*}{x} = \frac{x^*-x}{x} er(x∗)=xe∗=xx∗−x
为近似值 x ∗ x^* x∗的相对误差。
重要结论:相对误差绝对值越小,近似程度越高。
微分和误差的对应
e ( x ∗ ) = x ∗ − x = d x e(x^*)=x^*-x =dx e(x∗)=x∗−x=dx
e r ( x ∗ ) = x ∗ − x x = d ln x e_r(x^*) = \frac{x^*-x}{x}=d \ln x er(x∗)=xx∗−x=dlnx

四则运算的误差



版权声明:本文内容由互联网用户自发贡献,该文观点仅代表作者本人。本站仅提供信息存储空间服务,不拥有所有权,不承担相关法律责任。如发现本站有涉嫌侵权/违法违规的内容,请联系我们,一经查实,本站将立刻删除。
如需转载请保留出处:https://51itzy.com/kjqy/122456.html