- 🔗 运行环境:Matlab
- 🚩 作者:左手の明天
- 🥇 精选专栏:《python》
- 🔥 推荐专栏:《算法研究》
- 📚 选自专栏:《数学建模》
- 🧿 优秀专栏:《Matlab神经网络案例分析》
目前持续更新的专栏:
- 🥇 专栏:Matlab GUI编程技巧
- 🔥 专栏:Matlab从无到有系列
- 📚 专栏:《数学建模》
大家好,我是左手の明天!
今天和大家探讨解决生产与存储问题,属于典型的存贮问题。通过建立模型,求解得到最优生产方案。所谓最优生产方案是指在满足市场需求并充分发挥存货功能的基础上建立一个**的生产周期,使总费用最小。
目录
一、 问题
二、 问题分析
三、 基本假设
四、 模型的建立与求解
4.1 问题(1)的求解
4.2 问题(2)不允许缺货存贮模型的建立与求解
4.2.1 模型建立
4.2.2 模型求解
4.2.3 结果解释
4.3 问题(3)允许存贮模型的建立与求解
4.3.1 模型建立
4.3.2 模型求解
4.3.3 结果解释
五、 模型的灵敏度分析
5.1 敏感性分析
5.1.1 周期 T 对生产准备费用 C1的灵敏度分析
5.1.2 周期 T 对存储费用的灵敏度分析
5.1.3 周期 T 对需求速度 𝐫 的灵敏度分析
六、 模型的对比分析与评价推广
6.1 两个模型的对比分析
6.2 模型的评价
6.2.1 模型的优点
6.2.2 模型的缺点
6.3 改进与推广
6.3.1 模型的改进
6.3.2 模型的推广
七、总结
一、 问题
某工厂为生产某种零件,需要付出生产准备金(假设与产量无关),当产量大于需求量,会出现贮存费。为了简化问题,假设生产能力远大于需求量,这种零件的单位时间需求量为常数,生产准备金为常数,每单位时间的贮存费为常数。
解决下列问题:
- 问题(1):若这些常数直接给出,如每日需求量为 100,生产准备金为 5000,每日贮存费为 2。请你测算下,给出不同的若干个生产周期,其平均日花费为多少?
- 问题(2):如果不允许出现缺货现象,请建立模型,刻画生产周期、产量的关系式,并构建最优生产计划模型;
- 问题(3):如果允许出现缺货现象,增加缺货时损失费开支,请建立模型,刻画生产周期、产量的关系式,并构建最优生产计划模型;
- 问题(4):进行两模型的比较分析,评价模型的好坏。
二、 问题分析
在生产中遇到的存贮问题一直是工厂要面对的重要问题,产品都有一个贮存量多大才合适的问题。贮存量过大,贮存费用太高;贮存量太小,会导致一次性订购费用增加,或不能及时满足需求。
在需求量稳定的前提下讨论两个贮存模型:不允许缺货模型和允许缺货模型。来为生产者提供理论依据。
针对问题(1)进行试算:
- 我们以此按周期为每天、10 天、60 天进行计算,对结果进行比较分析。
针对问题(2)不允许缺货情况:
- 产品需求稳定不变,生产准备费用和产品贮存费为常数、生产能力无限、不允许缺货,确定生产周期和产量,使总费用最小。
针对问题(3)允许短时间缺货:
- 虽然这会造成一定的损失,但是如果损失费不超过不允许缺货导致的准备费和贮存费的话,允许缺货就应该是可以采取的策略。
三、 基本假设
为了处理的方便,连续模型,即设生产周期 T 和产量 Q 均为连续量。
- 1. 产品每天的需求量为常数r。
- 2. 每次生产准备费为 c1,每天每件产品贮存费为c2。
- 3. 生产能力为无限大(相对于需求量),当贮存量降到零时,Q件产品立即生产出来供给需求,即不允许缺货。
- 4. 针对不允许缺货模型将假设 3 改为:生产能力为无限大(相对与需求量),允许缺货,每天每件产品缺货损失费为c3,但缺货数量需在下次生产(或订货)时补足。
四、 模型的建立与求解
4.1 问题(1)的求解
如果每天安排生产一次,每次生产 100 件,则一天费用为 5000 元;但是如果这样连续生产 x 天,则 x 天总费用为 5000x 元。如果每隔 x 天生产一次,一次生产 100x 件,则生产准备费用为 5000 元,存储费用为
则每隔 x 天生产一次,这 x 天中总费用为![]()
平均每天的费用为

其函数曲线如下图 1:

每天生产一次,每次 100 件,无贮存费,生产准备费 5000,总花费 5000;
10 天生产一次,每次 1000,贮存费 9000,生产准备费 5000,总花费 14000,平均每天 1400.
60 天生产一次,每次 6000 件,贮存费 ,生产准备费 5000,总计 ,平均每天 3033.33.
虽然从以上结果看,10 天生产一次比每天和 50 天生产一次的费用少,但是,要得到准确的结论,应该建立生产周期、产量与需求量、生产准备费、贮存费之间的关系,即数学模型。
上面的计算看,生产周期短、产量少,会使贮存费小,准备费大;而周期长、产量多,会使贮存费大,准备费小。所以必然存在一个**的周期,使费用最小。显然,应该建立一个优化模型。
4.2 问题(2)不允许缺货存贮模型的建立与求解
4.2.1 模型建立
将贮存量表示为时间 t 的函数q(t),t = 0生产 Q 件,贮存量q(0) = Q , q(t)以需求率 r 递减,直到q(T) = 0,如图 2。显然有
![]()

一个周期内的贮存费
,其中积分恰等于图 1 中三角形 A 的面积QT/2。因为一个周期的准备费是 c1 ,再注意到(1)式,得到一周期的总费用为


于是每天的平均费用是
![]()
(6)式即为这个优化模型的目标函数.
4.2.2 模型求解
求 T 使(6)最小.容易得到

代入(4)式得到

由(6)式算出最小的总费用为
![]()
(7),(8)式是经济学中著名的经济订货批量公式(EOQ 公式)
4.2.3 结果解释
由(7),(8)式可以看到,当准备费 c1 增加时, 生产周期和产量都变大; 当准备费 c2 增加时, 生产周期和产量都变小;当需求量 r 增加时,生产周期变小而产量变大.这些定性的结果都是符合常识的。当然,(7)(8)式的定量关系(如平方根、系数 2 等)凭常识是无法猜出的,只能由数学建模得到。
得到的模型用于计算开始的问题:以 c1 =5000,c2 =1,r =100代入(7)(9)式可得 T = 10天,C = 1000 元,这里得到的费用 C 与前面计算的 950 元有微小的差别。
4.3 问题(3)允许存贮模型的建立与求解
4.3.1 模型建立
因贮存不足时造成缺货时,可认为贮存量函数 q(t) 为负值,如图 3。周期仍记作 T , Q 是每周期初的贮存量,当t = 𝑇1时q(t) = 0,于是有
![]()
在 𝑇1 到 T 这段时间缺货时段内需求率 r 不变,q(t)按原斜率继续下降由于规定缺货需补足,所以在t = T时数量为 R 的产品立即到达,使下周期初的贮存量恢复到 Q 。
与建立不允许缺货模型时类似,一个周期内的贮存费是 𝑐2 乘以图 2 中三角形 A 的面积,缺货损失费则是 𝑐3 乘以图 2 中三角形 B 的面积.计算这两块的面积,并加上准备费 𝑐1 ,得到一个周期的总费用为

利用(11)式将模型的目标函数—每天的平均费用——记作 T 和 Q 的二元函数

4.3.2 模型求解
利用微分法求 T 和 Q 使C(T, Q)最小,可得(为了与不允许缺货模型相区别,最优解记作 T’,Q’)

注意到每个周期的供货量R = rT ',则有

记

与不允许缺货模型的结果(7),(8)式比较不难得到

4.3.3 结果解释
由(15)式,λ > 1 ,故(16)式给出 T’ > T ,Q’ < Q , R > Q,即允许缺货时周期以及供货量应增加,周期初贮存量应减少,缺货损失费 𝑐3 越大(相对于贮存费 𝑐2 ), λ 越小, T’ 越接近 T , Q’ , R 越接近 Q .当 𝑐3 → ∞时 λ → 1,于是𝑇′ → T,𝑄′ → Q,R → Q .
五、 模型的灵敏度分析
5.1 敏感性分析
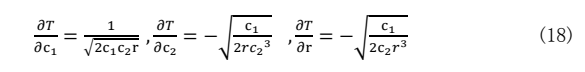
由公式

对c1, c2, r分别求偏导数,得

注:函数改变的百分比/自变量改变的百分比=函数的弹性,即函数y = f(x)在 𝑥0 附近有定义,如果下式成立,
![]()
称(18)为函数y = f(x)在点 𝑥0处的弹性,反映函数 y 随自变量 x 变化的剧烈程度。即自变量变化1%时,函数 y 变化的百分比,若 E(y) 为正,表示增加的百分比;如果 E(y) 为负,表示下降的百分比,总是是反映函数对自变量的灵敏程度。
下面就用弹性这个概念来计算平均费用对各个参数的灵敏程度。这里𝑐1=5000,𝑐2 = 2,r = 100。
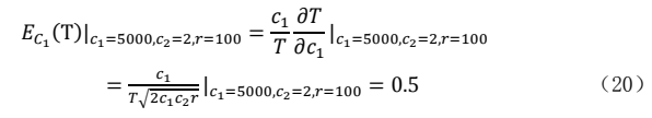
5.1.1 周期 T 对生产准备费用 C1的灵敏度分析

结果说明,当生产准备费用变动 1%时,周期 t 用只是变动 0.5%,说明周期对准备费用反应不灵敏。
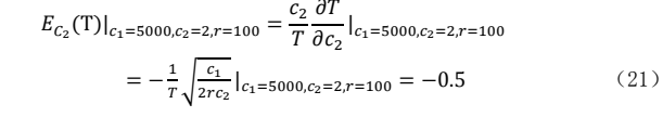
5.1.2 周期 T 对存储费用的灵敏度分析

计算结果表明,存储费用每增加 1%,周期 T 则下降 0.5%,反应不太灵敏。
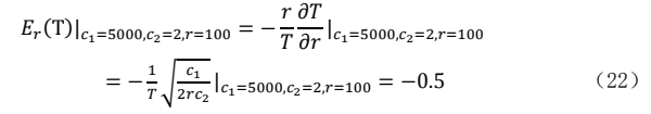
5.1.3 周期 T 对需求速度 𝐫 的灵敏度分析

计算结果表明,存储费用每增加1%,周期 T 则下降0.5%,反应不太灵敏。
六、 模型的对比分析与评价推广
6.1 两个模型的对比分析
当产品需求稳定不变,生产准备费和产品贮存费为常数、生产能力无限、不允许缺货,确定生产周期和产量,使总费用最小,这是不允许缺货模型。
在某些情况下用户允许短时间的缺货,虽然这会造成一定的损失,但是如果损失费超过不允许缺货导致的准备费和贮存费的话,这时采用允许缺货模型。
前者适用于一旦出现缺货会造成重大损失的情况(如炼钢厂对原料的需求),后者适用于像商店购货之类的情形,缺货造成的损失可以允许和估计。
6.2 模型的评价
6.2.1 模型的优点
模型一对于小型工厂的存货管理及采购具有很强的实用性,只要能确定市场需求量与固定订货费用和货物单价,单位储存费用,我们就能应用该模型求解最优订货周期,进而确定经济批量,并且能估计出大致平均成本,进行有效的流动资产管理,提高资产利用效率。
6.2.2 模型的缺点
两个模型只对对于两个小模型做了假设与求解,比较单一,实用性就较差。并且用积分形式来确定存储费用有一定的误差,有待改进。
6.3 改进与推广
6.3.1 模型的改进
针对该模型的缺点,我们需要重新确定一个函数来表达储存费用,并且还要把其他几个相关的模型也建立出来以满足更多的使用范围。
6.3.2 模型的推广
该模型可广泛应用于各类企业的订货存货管理,帮助其制定订货方案用最少的成本来安排最优的计划,进行有效的流动资产管理,提高资产利用效率,以实现利润的最大化。
七、总结
针对问题(1)进行试算得出每天、10 天、60 天为周期的每天费用分别是5000、1400、3033.33 元。可以初步得出生产周期短,产量少,会使贮存费小准备费大;而周期长、量产多,会使贮存费大,准备费小。由此得出存在一个**的周期,使总费用最小。但是,要得到更加准确的结论,应该建立生产周期、产量与需求量、生产准备费、贮存费之间的关系。
针对问题(2)(3)我们建立两种模型不允许缺货和允许缺货,假设每天需求量为常数,设定每天生产准备费、贮存费,周期、产量等变量建立相关函数,得到经济订货批量公式(EOQ)。进而带入函数得出最终表达式。
两种模型适应与不同的生产贮存问题,因此我们进行了模型的对比分析与改进,使他更加合理。最后进行模型推广,帮助生存者制定生产方案用最少的成本来安排最优的计划,进行有效的流动资产管理,提高资产利用效率,以实现利润的最大化。

版权声明:本文内容由互联网用户自发贡献,该文观点仅代表作者本人。本站仅提供信息存储空间服务,不拥有所有权,不承担相关法律责任。如发现本站有涉嫌侵权/违法违规的内容,请联系我们,一经查实,本站将立刻删除。
如需转载请保留出处:https://51itzy.com/kjqy/121980.html