三相桥式全控整流电路原理及电路图,三相桥式全控整流电路原理及电路图
三相整流电路的作用:

讯享网
时间段2:此时间段A相电位最高,C相电位最低,因此跨接在A相C相间的二极管D1、D6导电。
时间段3:此时间段B相电位最高,C相电位最低,因此跨接在A相C相间的二极管D3、D6导电。
时间段4:此时间段B相电位最高,A相电位最低,因此跨接在B相A相间的二极管D3、D2导电。
时间段5:此时间段C相电位最高,A相电位最低,因此跨接在C相A相间的二极管D5、D2导电。
三相整流电路的作用:

三相桥式电阻负载整流电路的输出电压波形见图
时间段6:此时间段C相电位最高,B相电位最低,因此跨接在C相B相间的二极管D5、D5导电。
时间段7:此时间段又变成A相电位最高,B相电位最低,因此跨接在A相B相间的二极管D1、D4导电。电路状态不断重复
三相半波可控整流电路工作原理:
1.电阻性负载
三相半波可控整流电路接电阻性负载的接线图如图3所示。整流变压器原边绕组一般接成三角形,使三次谐波电流能够流通,以保证变压器电势不发生畸变,从而减小谐波。副边绕组为带中线的星形接法,三个晶闸管阳极分别接至星形的三相,阴极接在一起接至星形的中点。这种晶闸管阴极接在一起的接法称共阴极接法。共阴极接法便于安排有公共线的触发电路,应用较广。
三相可控整流电路的运行特性、各处波形、基本数量关系不仅与负载性质有关,而且与控制角α有很大关系,应按不同α进行分析。
(1) α=0º
在三相可控整流电路中,控制角α的计算起点不再选择在相电压由负变正的过零点,而选择在各相电压的交点处,即自然换流点,如图1b)中的1、2、3、1、…等处。这样,α=0意味着在ωt1时给a相晶闸管VT1门极上施加触发脉冲ug1;在ωt2时给b相晶闸管VT2门极上施加触发脉冲ug2;在ωt3时给c相晶闸管VT3门极上施加触发脉冲ug3,等等,如图1c)所示。

共阴极接法三相半波整流电路中,晶闸管的导通原则是哪相电压最高与该相相连的元件将导通。如果假定电路工作已进入稳定状态,在ωt1时刻之前c相VT3正在导通,那么在ωt1~ωt2期间内,a相电压ua最高,VT1具备导通条件。ωt1时刻触发脉冲ug1加在VT1门极上,VT1导通,负载Rd上得到a相电压,即ud=ua,如图1d)所示。在ωt2~ωt3期间内,ub电压最高,ωt2时刻触发脉冲ug2加在VT2门极上,VT2导通,Rd上得到b相电压,ud=ub。与此同时,b点电位通过导通的VT2加在VT1的阳极上。由于此时ub>ua,使VT1承受反向阳极电压而关断。VT2导通、VT1关断,这样就完成了一次换流。同样,在ωt3时刻又将发生VT2向VT3的换流过程。可以看出,对于共阴极接法的三相可控整流电路,换流总是由低电位相换至高电位相。为了保证正常的换流,必须使触发脉冲的相序与电源相序一致。由于三相电源系统平衡,则三只晶闸管将按同样的规律连续不断地循环工作,每管导通1/3周期。
共阴极接法三相半波整流电路输出直流电压波形为三相交流相电压的正半周包络线,是一脉动直流,在一个周期内脉动三次(三个波头),最低脉动频率为工频的三倍。对于电阻负载,负载电流id波形与负载电压ud波形相同。变压器副边绕组电流i2即晶闸管中电流iT。因此,a相绕组中电流波形也即VT1中电流波形iT1为直流脉动电流,如图1d)所示。所以,三相半波整流电路有变压器铁心直流磁化问题。晶闸管承受的电压分为三部分,每部分占1/3周期。以VT1管上的电压uT1为例 (图1f) ):VT1导通时,为管压降,uT1=UT ≈ 0;VT2导通时,uT1=uab;VT3导通时,uT1=uac。在电流连续条件下,无论控制角α如何变化,晶闸管上电压波形总是由这三部分组成,只是在不同α下,每部分波形的具体形状不同。在α=0°的场合下,晶闸管上承受的全为反向阳极电压,最大值为线电压幅值。

晶闸管电流仍为直流脉动电流,每管导通时间为1/3周期(120°)。晶闸管电压仍由三部分组成,每部分占1/3周期,但由于α=30°,除承受的反向阳极电压波形与α=0°时有所变化外,晶闸管上开始承受正向阻断电压,如图2e)所示。
随着α角的增加,导通角也随之减小,直流平均电压Ud也减小。当α=150°时,θ=0°,Ud=0。其移相范围为150°。由于电流不连续,使晶闸管上承受的电压与连续时有较大的不同。其波形如图3e)所示。
直流平均电压Ud计算中应按α≤30°及α>30°两种情况分别处理。
α≤30°时,负载电流连续,Ud的计算如下

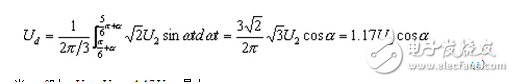
当α=0时,Ud=Ud0=1.17U2,最大。
α>30°时,直流电流不连续,此时有

晶闸管承受的最大反向电压URM为线电压峰值:

晶闸管承受最大正向电压UTM为晶闸管不导通时的阴、阳极间电压差,即相电压峰值:
讯享网


由于电流连续、平稳,晶闸管电流为120°宽,高度为Id的矩形波,图4b)中给出了晶闸管VT1中的电流iT1波形。其中ωt2至ωt3范围内的一段区域是依靠Ld的自感电势eL维持的。晶闸管上电压波形仍然由三段组成,每段占1/3周期,如图4b)中VT1管上电压uT1所示。当VT1导通时不承受电压,uT1=0;当VT1关断时,由于任何瞬间都有一其他相晶闸管导通而引来他相电压,使VT1承受相应的线电压。
直流平均电压Ud为

当α=0°时,Ud=Ud0=1.17U2,为最大;当α=90°时,Ud=0,反映在ud波形上是正、负电压区域的面积相等,平均值为零。可见大电感负载下,三相半波电路的移相范围为90°。
由于晶闸管电流为120°宽、高为Id的矩形波,则其平均值为

晶闸管电流有效值为

变压器次级电流即晶闸管电流,故变压器
为了分析方便,使三相全控桥的六个晶闸管触发的顺序是1-2-3-4-5-6,晶闸管是这样编号的:晶闸管KP1和KP4接a相,晶闸管KP3和KP6接b相,晶管KP5和KP2接c相。
晶闸管KP1、KP3、KP5组成共阴极组,而晶闸管KP2、KP4、KP6组成共阳极组。
为了搞清楚α变化时各晶闸管的导通规律,分析输出波形的变化规则,下面研究几个特殊控制角,先分析α=0的情况,也就是在自然换相点触发换相时的情况。图1是电路接线图。

为了分析方便起见,把一个周期等分6段(见图2)。

在第(1)段期间,a相电压最高,而共阴极组的晶闸管KP1被触发导通,b相电位最低,所以供阳极组的晶闸管KP6被触发导通。这时电流由a相经KP1流向负载,再经KP6流入b相。变压器a、b两相工作,共阴极组的a相电流为正,共阳极组的b相电流为负。加在负载上的整流电压为ud=ua-ub=uab
经过60°后进入第(2)段时期。这时a相电位仍然最高,晶闸管KPl继续导通,但是c相电位却变成最低,当经过自然换相点时触发c相晶闸管KP2,电流即从b相换到c相,KP6承受反向电压而关断。这时电流由a相流出经KPl、负载、KP2流回电源c相。变压器a、c两相工作。这时a相电流为正,c相电流为负。在负载上的电压为ud=ua-uc=uac
再经过60°,进入第(3)段时期。这时b相电位最高,共阴极组在经过自然换相点时,触发导通晶闸管KP3,电流即从a相换到b相,c相晶闸管KP2因电位仍然最低而继续导通。此时变压器bc两相工作,在负载上的电压为ud=ub-uc=ubc
余相依此类推。
由上述三相桥式全控整流电路的工作过程可以看出:
1、三相桥式全控整流电路在任何时刻都必须有两个晶闸管导通,而且这两个晶闸管一个是共阴极组,另一个是共阳极组的,只有它们能同时导通,才能形成导电回路。
2、三相桥式全控整流电路就是两组三相半波整流电路的串联,所以与三相半波整流电路一样,对于共阴极组触发脉冲的要求是保证晶闸管KPl、KP3和KP5依次导通,因此它们的触发脉冲之间的相位差应为120°。对于共阳极组触发脉冲的要求是保证晶闸管KP2、KP4和KP6依次导通,因此它们的触发脉冲之间的相位差也是120°。
3、由于共阴极的晶闸管是在正半周触发,共阳极组是在负半周触发,因此接在同一相的两个晶闸管的触发脉冲的相位应该相差180°。
4、三相桥式全控整流电路每隔60°有一个晶闸管要换流,由上一号晶闸管换流到下一号晶闸管触发,触发脉冲的顺序是:1→2→3→4→5→6→1,依次下去。相邻两脉冲的相位差是60°。
5、由于电流断续后,能够使晶闸管再次导通,必须对两组中应导通的一对晶闸管同时有触发脉冲。为了达到这个目的,可以采取两种办法;一种是使每个脉冲的宽度大于60°(必须小于120°),一般取80°~100°,称为宽脉冲触发。另一种是在触发某一号晶闸管时,同时给前一号晶闸管补发一个脉冲,使共阴极组和共阳极组的两个应导通的晶闸管上都有触发脉冲,相当于两个窄脉冲等效地代替大于60°的宽脉冲。这种方法称双脉冲触发。
6、整流输出的电压,也就是负载上的电压。整流输出的电压应该是两相电压相减后的波形,实际上都属于线电压,波头uab、uac、ubc、uba、uca、ucb均为线电压的一部分,是上述线电压的包络线。相电压的交点与线电压的交点在同一角度位置上,故线电压的交点同样是自然换相点,同时亦可看出,三相桥式全控的整流电压在一个周期内脉动六次,脉动频率为6 &TImes; 50=300赫,比三相半波时大一倍。
7、晶闸管所承受的电压。三相桥式整流电路在任何瞬间仅有二臂的元件导通,其余四臂的元件均承受变化着的反向电压。例如在第(1)段时期,KP1和KP6导通,此时KP3和KP4,承受反向线电压uba=ub-ua。KP2承受反向线电压ubc=ub-uc。KP5承受反向线电压uca=uc-ua。晶闸管所受的反向最大电压即为线电压的峰值。当α从零增大的过程中,同样可分析出晶闸管承受的最大正向电压也是线电压的峰值。
版权声明:本文内容由互联网用户自发贡献,该文观点仅代表作者本人。本站仅提供信息存储空间服务,不拥有所有权,不承担相关法律责任。如发现本站有涉嫌侵权/违法违规的内容,请联系我们,一经查实,本站将立刻删除。
如需转载请保留出处:https://51itzy.com/kjqy/117952.html