目录
一、雷达方程
二、距离、速度、角度理论
一、雷达方程
雷达方程又叫雷达距离方程,最大距离的计算。
1.首先是发射功率Pt,发射天线增益G
2.目标反射截面积RCS(Radar Cross-Section,σ西格玛)
雷达散射截面是度量目标在雷达波照射下所产生回波强度的一种物理量,简称RCS。它是目标的假想面积,用一个各向均匀的等效反射器的投影面积来表示,该等效反射器与被定义的目标在接收方向单位立体角内具有相同的回波功率。一般用符号σ表示目标的雷达散射截面。有两种表达方式:
1平方米:一架飞机的RCS不是一个单值,对于每个视角、不同雷达频率等都对应不同的RCS。例如F-16的某个波段的RCS值正前方为4平方米,而侧向则大于100平方米
2分贝平方米(dBsm):用雷达散射截面的对数值的十倍来表示,符号是σdBsm,单位是分贝平方米(dBsm),即σdBsm=10lgσ。例如,RCS值0.1平方米对应的是-10分贝平方米(即-10dBsm)。

目标处面积σ对于雷达天线所张的立体角为![]()
目标接收到的功率:

3.目标截获到入射波功率后再均匀地向整个空间辐射,单位立体角内辐射功率为

4.接收机接收到目标回波

此时雷达天线接收到功率为:

接收机能检测到回波信号的最小功率为S_min,即P_r >S_min(下面是P_r)

于是:

那么S_min 与什么有关呢
6.最小检测功率
考虑到实际损耗和环境因素,且雷达方程中存在有效反射面积和最小可检测信号,它们常作为估算值,反射截面积对不同目标有不同的定义,最小检测信号根据输入输出端损耗功率和检验统计量计算
输出端噪声功率:

输入端信号功率:


最小可检测功率为:

由此可得:



信噪比为:

接收机系统噪声功率:
![]()
所以信噪比为

得到:

或者


功率和dB的关系:
dB的引入是为了把乘除关系变为加减便于工程运算。[dB] = 10lg(输出功率w/输出功率w),如输入功率为1w输出功率1000w,那么系统增益为10lg(1000/1) = 30dB;
dBm表示功率的绝对值。最常用的单位1mW,与mW 有关的分贝单位就是 dBm。1mW=0dBm 、2mW =3dBm 、1000mW=30dBm;
在雷达中由于最后表示的是接收功率与接收机噪音的比值,所以一般使用db进行加减运算
二、距离、速度、角度理论
3DFFT 分别在距离维,速度维,天线维FFT; 距离维有256个sample, 速度维有128个chirps,天线维角度维有4个通道;每个chirp采样256个点,涉及到采样定理,最终形成256x128x4cell

测量距离:
FMCW是连续波线性调频脉冲信号,fc是起始频率,fc+B/2 *k是中心频率,也叫载频.采样采集的是中频信号(如图4所示).


![]()
所以![]()
但是实际情况下并非全采样,f_IF/ B = tao/T_pri, 代入tao,求得,d = C/2 * T_pri/ B * f_IF
B' = B/(fs/n_sample *T_pri) = B/T_pri *n_sample *1/fs
傅里叶变换理论:观测窗口(Tc)可以分辨间隔超过1/T HZ的频率分量,意味着频率差满足
,就可以分辨出两个IF单音信号

测量速度:
经过CFAR检测之后然后检测峰值确实会得到Range 和Doppler的峰值索引,也就是多个chirps测速法,但是最大不模糊速度为十几m/s,在实际使用中并不满足需求超出不模糊速度就会产生速度模糊,因此需要对速度扩展,中国余数定理是很好的速度扩展算法,对速度进行解模糊。后面博客会对讲解中国余数定理原理和在雷达中的应用 。
连续发射间隔Tc的连续波

,相位差
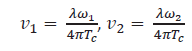
,由此推导出速度 ![]()
由于相位差在<Π时具有非模糊性,因此推导出最大速度![]()
速度分辨率
,
, 由此可得 ΔV = λ/ (2*N*Tc)
实际使用中为V=(doppler_bin -M/2 -1)*del_v = (-n_chirps/2:n_chirps -1)*lambda/(2*T_pri)
测量角度:
角度估计又叫DOA估计,关于角度估计的算法包括相关性测角,MUSIC,相位法测角,振幅法测角,后面会单独讨论测角算法,这里介绍基础的角度估计原理。
角度分辨力:比如,如果有两个信号,一个在50度,另一个在52度,(都以某个方向为参考),如果有一阵列,主波束对准50度方向接收信号,但同时52度的信号也进来了,就说明它的角分辨力不够,接收时没法“区分开”这两个相差2度的信号;但如果52度的信号进不来,就说明这个阵的角分辨力至少可以小到2度。——角分辨力越高,越能分辨两个在方向上靠得很近的信号。上面说的其它信号“进不来”,是需要有量来说话的,通常有-3dB,-10dB等,比期望信号低这么多,就说信号“进不来”。
角度准确度:衡量主波束最大增益方向(可以看成是波束的“顶点”)是不是“对准”了期望方向
角度精度:精度”一般是指能精确到什么程度。比如,能到达1度、0.5度、0.05度等。不同应用对精度有不同要求。软硬件实现时,数字的位数(字的长度)对精度有很大影响。
精度和准确度的关系:精度不够,也将导致偏差,即导致准确度下降,但二者的概念不等同。


![]()
![]()
![]()
,当l=λ/2 时为+-90°视场角.
角度分辨率 λ/(N*d*cos(θ)),N表示接收天线的个数.
通过CFAR已经可以估计出噪音的阈值,通过检测256*128单元与噪音+14db比较,然后又是局部3*3最大值,可以检测出目标;对于检测到的目标进行峰值细化,在单元R_bin + i*spec_2d/sum(i,j spec_2d) {i=-1,0,1,j=-1,0,1};D_bin + j*spec_2d/sum(i,j spec_2d) {i=-1,0,1,j=-1,0,1};i表示距离bin,j表示dopplerbin.
基于相关性的角度估计算法首先要得到相关性曲线,然后进行相关操作和半波有效性检测即可,下面是线性阵列相关性曲线获得的方法
c=3.0e8; f0=77.0e6; lambd=c/f0; d=[0,1,2,3]*lambd/2; real_angle= (0:180)*pi/180 - pi/2; fai = 2*pi*sin(real_angle')* d/lambd; for i=2:length(d) if ~isempty(find(fai(:,i) >=pi)) fai(find(fai(:,i) >=pi),i) = fai(find(fai(:,i) >=pi),i)-2*pi; end if ~isempty(find(fai(:,i) <=-pi)) fai(find(fai(:,i) <=-pi),i) = fai(find(fai(:,i) <=-pi),i)+2*pi; end end lut = exp(1*1i*fai); lut_deg =angle(lut); plot(real_angle*180/pi,lut_deg);
讯享网

参考链接:
雷达角度精度设计:https://www.zhihu.com/question/
雷达反射截面积:http://blog.sina.com.cn/s/blog_4abb4fac0100f4ck.html
雷达方程:
https://wenku.baidu.com/view/c6f41d1b964bcf84b9d57bb8.html
https://wenku.baidu.com/view/0047bd2e710abb68a98271fe910ef12d2bf9a949.html
https://wenku.baidu.com/view/7d561fac360cba1aa811daa4.html
毫米波雷达系统性能参数分析 https://blog.csdn.net/nuaahz/article/details/

版权声明:本文内容由互联网用户自发贡献,该文观点仅代表作者本人。本站仅提供信息存储空间服务,不拥有所有权,不承担相关法律责任。如发现本站有涉嫌侵权/违法违规的内容,请联系我们,一经查实,本站将立刻删除。
如需转载请保留出处:https://51itzy.com/kjqy/117836.html