讯享网
一、引言
在《人工智能数学基础–不定积分2:利用换元法求不定积分》介绍了三种换元法求不定积分的方法及案例,换元积分法是基于复合函数求导的基础上推导出来的。而求导数时,除了复合函数求导外,还有一些其他求导公式,本文将介绍基于函数乘积求导法则基础上推出的分部积分法。
二、分部积分法介绍
我们知道,对于两个具有导数的连续函数u、v,其乘积的导数计算公式如下:
(uv)’ = u’v + uv’
对上述公式进行变换,可得到:
uv’ = (uv)’ - u’v
对上式两边求不定积分,可得:
∫uv’dx = uv - ∫u’vdx (3-1)
上述公式3-1称为分部积分公式,其核心思想是针对两个单独可以求不定积分的函数,二者的乘积求不定积分如果有困难,可以尝试将其中一个函数看做其原函数v的导数,这样两个函数的乘积的不定积分就变成了一个函数的原函数v的导数与另一个函数u的乘积的不定积分,从而可以尝试利用公式3-1来转换成函数u和函数v的乘积减去u的导数和v的乘积的不定积分的差。
为了简单表示,公式3-1也可以用如下公式表示:
∫udv = uv - ∫vdu (3-2)
分部积分法的一个关键是将一个不定积分的被积函数转换成一个函数u和另一个函数v的导数的乘积,并且要使得u和v选取适当,才能利用公式将其转换成比较容易求不定积分的方式。
在u和v的选取上,一般要考虑两点:
- v要容易求得;
- ∫vdu要比∫udv 容易求。
三、示例
3.1、幂函数和指数函数或正弦余弦函数乘积的案例



案例总结:
如果被积函数是幂函和正(余)弦函数或幂函数(假定幂指数是正整数)和指数函数的乘积,就可以考虑用分部积分法,并设幂函数为u。这样用一次分部积分法就可以使幂函数的幂次降低一次。
3.2、幂函数和对数函数或反三角函数乘积的案例

案例总结:
如果被积函数是幂函数和对数函数或幂函数和反三角函数的乘积,就可以考虑用分部积分法,并设对数函数或反三角函数为u(即运算时需要先求导的函数)。
3.3、利用分布积分法获得包含要求积分自身的表达式

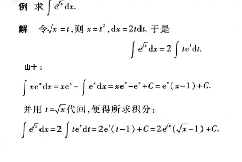
3.4、换元法+分部积分法

四、小结
本节介绍了分布积分法以及对应的分部积分公式,其核心思想是针对两个单独可以求不定积分的函数,二者的乘积求不定积分如果有困难,可以尝试将其中一个函数看做其原函数v的导数,这样两个函数的乘积的不定积分就变成了一个函数的原函数v的导数与另一个函数u的乘积的不定积分,从而可以尝试利用公式3-1来转换成函数u和函数v的乘积减去u的导数和v的乘积的不定积分的差。
说明:
本文内容是老猿学习同济版高数的总结,有需要原教材电子版以及OpenCV、Python基础知识、、图像处理原理介绍相关电子资料,或对文章内有有疑问咨询的,请扫博客首页左边二维码加微信公号,根据加微信公号后的自动回复操作。
更多人工智能数学基础请参考专栏《人工智能数学基础》。
写博不易,敬请支持:
如果阅读本文于您有所获,敬请点赞、评论、收藏,谢谢大家的支持!
关于老猿的付费专栏
- 付费专栏《https://blog.csdn.net/laoyuanpython/category_9607725.html 使用PyQt开发图形界面Python应用》专门介绍基于Python的PyQt图形界面开发基础教程,对应文章目录为《 https://blog.csdn.net/LaoYuanPython/article/details/107580932 使用PyQt开发图形界面Python应用专栏目录》;
- 付费专栏《https://blog.csdn.net/laoyuanpython/category_10232926.html moviepy音视频开发专栏 )详细介绍moviepy音视频剪辑合成处理的类相关方法及使用相关方法进行相关剪辑合成场景的处理,对应文章目录为《https://blog.csdn.net/LaoYuanPython/article/details/107574583 moviepy音视频开发专栏文章目录》;
- 付费专栏《https://blog.csdn.net/laoyuanpython/category_10581071.html OpenCV-Python初学者疑难问题集》为《https://blog.csdn.net/laoyuanpython/category_9979286.html OpenCV-Python图形图像处理 》的伴生专栏,是笔者对OpenCV-Python图形图像处理学习中遇到的一些问题个人感悟的整合,相关资料基本上都是老猿反复研究的成果,有助于OpenCV-Python初学者比较深入地理解OpenCV,对应文章目录为《https://blog.csdn.net/LaoYuanPython/article/details/109713407 OpenCV-Python初学者疑难问题集专栏目录 》
- 付费专栏《https://blog.csdn.net/laoyuanpython/category_10762553.html Python爬虫入门 》站在一个互联网前端开发小白的角度介绍爬虫开发应知应会内容,包括爬虫入门的基础知识,以及爬取CSDN文章信息、博主信息、给文章点赞、评论等实战内容。
前两个专栏都适合有一定Python基础但无相关知识的小白读者学习,第三个专栏请大家结合《https://blog.csdn.net/laoyuanpython/category_9979286.html OpenCV-Python图形图像处理 》的学习使用。
对于缺乏Python基础的同仁,可以通过老猿的免费专栏《https://blog.csdn.net/laoyuanpython/category_9831699.html 专栏:Python基础教程目录)从零开始学习Python。
如果有兴趣也愿意支持老猿的读者,欢迎购买付费专栏。
版权声明:本文内容由互联网用户自发贡献,该文观点仅代表作者本人。本站仅提供信息存储空间服务,不拥有所有权,不承担相关法律责任。如发现本站有涉嫌侵权/违法违规的内容,请联系我们,一经查实,本站将立刻删除。
如需转载请保留出处:https://51itzy.com/kjqy/117653.html