泊松定理就是将泊松分布转换为二项分布。
核心知识如下图:
注意:

- 泊松分布中,不要忘了 e λ e ^\lambda eλ,有了这个参数,泊松分布概率密度的积分和才是1。
- 泊松定理中,不要忘了 n ∗ p = λ n * p =\lambda n∗p=λ这个条件,否则无法证明泊松分布和二项分布的关系。
- 此处 n → + ∞ n \to + \infty n→+∞。
泊松分布中,k代表实际发生的次数, λ \lambda λ代表理论上的发生次数。
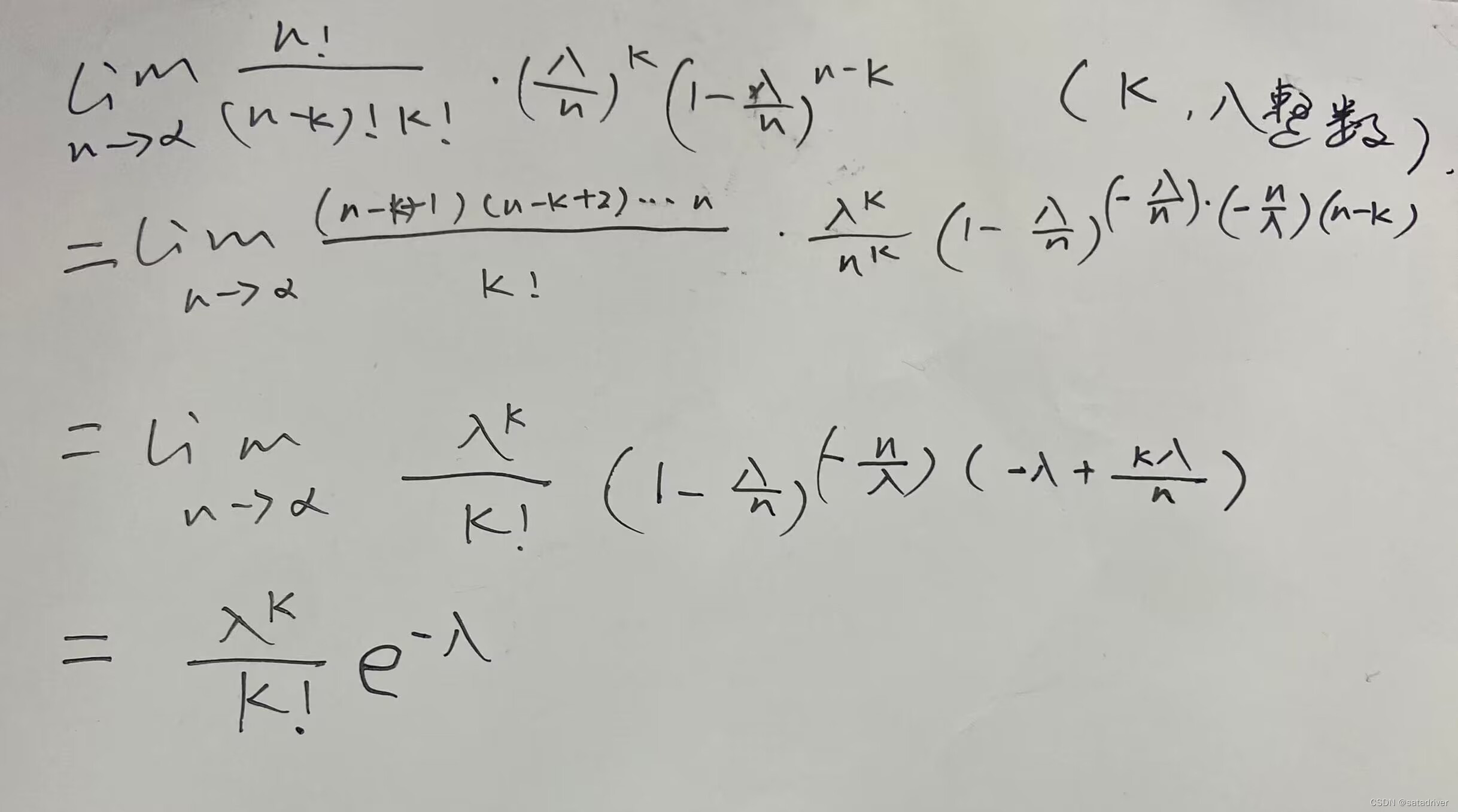
手动推导如下:


【泊松定理】泊松定理就是将泊松分布转换为二项分布 核心知识如下图 注意 泊松分布中 不要忘了 e e lambda e 有了这个参数 泊松分布概率密度的积分和才是 1 泊松定理中
泊松定理就是将泊松分布转换为二项分布。
核心知识如下图:
注意:

泊松分布中,k代表实际发生的次数, λ \lambda λ代表理论上的发生次数。
手动推导如下:


版权声明:本文内容由互联网用户自发贡献,该文观点仅代表作者本人。本站仅提供信息存储空间服务,不拥有所有权,不承担相关法律责任。如发现本站有涉嫌侵权/违法违规的内容,请联系我们,一经查实,本站将立刻删除。
如需转载请保留出处:https://51itzy.com/kjqy/11556.html