FTT从入门到自闭
0.基本定义
FFT全称(Fast Fourier Transformation)
中文名:快速傅里叶离散变换
作用是能以 O ( n l o g n ) O(nlogn) O(nlogn) 计算多项式乘法。
n n n次多项式:$F(x)=axn+bx{n-1}+cx^{n-2}\dots $
F [ i ] F[i] F[i] 表示 F ( x ) F(x) F(x)的 i i i次项系数。
F ( x ) = ∑ i = 0 n F [ i ] x i F(x)=\sum\limits_{i=0}^n F[i]x^i F(x)=i=0∑nF[i]xi
乘法的本质(卷积)
两个 n n n次多项式 A ( x ) , B ( x ) A(x),B(x) A(x),B(x)相乘。
C = A ∗ B C=A*B C=A∗B
C [ k ] = ∑ i = 0 k A [ i ] B [ k − i ] = ∑ i + j = k A [ i ] B [ j ] C[k]=\sum\limits_{i=0}^k A[i]B[k-i]=\sum\limits_{i+j=k}A[i]B[j] C[k]=i=0∑kA[i]B[k−i]=i+j=k∑A[i]B[j]
因此乘法的本质就是加法卷积。
暴力卷积
P3803 【模板】多项式乘法(FFT)
#include<bits/stdc++.h> using namespace std; typedef long long ll; const int N=1e6+5; int n,m; ll a[N],b[N],c[N]; void mul(ll *a,ll *b,ll *c){
for(int k=0;k<=n+m;k++) for(int i=0;i<=k;i++) c[k]+=a[i]*b[k-i]; } int main(){
scanf("%d%d",&n,&m); for(int i=0;i<=n;i++) scanf("%lld",&a[i]); for(int i=0;i<=m;i++) scanf("%lld",&b[i]); mul(a,b,c); for(int i=0;i<=n+m;i++) printf("%lld ",c[i]);printf("\n"); return 0; }
讯享网
1.DFT&IDFT
用 n + 1 n+1 n+1个点值(有序数对) 可以唯一确定一个 n n n次多项式。

因此便有了 F F T FFT FFT的算法流程:
把系数表达转换为点值表达 ⇒ \Rightarrow ⇒ 点值表达相乘 ⇒ \Rightarrow ⇒ 点值表达转换为系数表达。
把系数表达转换为点值表达”的算法叫做DFT
把点值表达转换为系数表达”的算法叫做IDFT(DFT的逆运算)
- 从一个多项式的系数表达确定其点值表达的过程称为求值(毕竟求点值表达的过程就是取了 n 个 x 然后扔进了多项式求了 n 个值出来);
- 而求值运算的逆运算(也就是从一个多项式的点值表达确定其系数表达)被称为插值.
总结
在平面直角坐标系中,给你(n+1)个点就能确定一个n次多项式(函数)。
点值表示相乘(点乘)远快于暴力卷积。
2.单位根(复数)及其性质

关于复数



复数相乘时,模长相乘,幅角相加!

单位根
看起来很高大上,这是傅里叶快速变换的重要内容。
- n次单位根(n为正整数)是n次幂为1的复数。
换句话说,就是方程 x n = 1 x^n=1 xn=1的复数解。



单位根的性质
- ω n 0 = 1 \omega_n^0=1 ωn0=1
- ω n k = ( ω n 1 ) k \omega_n^k=(\omega_n^1)^k ωnk=(ωn1)k
- ω n j ∗ ω n k = ω n j + k \omega_n^j * \omega_n^k=\omega_n^{j+k} ωnj∗ωnk=ωnj+k
- ω 2 n 2 k = ω n k \omega_{2n}^{2k}=\omega_{n}^k ω2n2k=ωnk
- 若 n n n为偶数, ω n k + n / 2 = − ω n k \omega_{n}^{k+n/2}=-\omega_n^k ωnk+n/2=−ωnk
总结
复数把数轴扩展到了复平面上,复数可以对应复平面上一个点。

复数也有四则运算。复数相乘时,模长相乘,幅角相加。
n次单位根(n为正整数)是n次幂为1的复数。
把单位根画到单位圆上之后,就能整出一些性质。
3.DFT的加速版本



F ( w n k ) = F L ( w n / 2 k ) + w n k F R ( w n / 2 k ) \large F(w_n^k)=FL(w_{n/2}^k)+w_n^kFR(w_{n/2}^k) F(wnk)=FL(wn/2k)+wnkFR(wn/2k)
F ( w n k + n / 2 ) = F L ( w n / 2 k ) − w n k F R ( w n / 2 k ) \large F(w_n^{k+n/2})=FL(w_{n/2}^k)-w_n^kFR(w_{n/2}^k) F(wnk+n/2)=FL(wn/2k)−wnkFR(wn/2k)

4.DFT的代码实现
还有一个小细节。
上文有一句话:“保证n是2的整幂,不会出现分得不均匀的情况。”
实际应用中, n n n不一定是 2 2 2的正整数次幂。
我们可以补项,在最高次强行添加一些系数为0的项(类似于高精度补0)。不影响我们的计算结果,却占了位置。(具体见代码)
讲完了这些我们可以开始写 D F T DFT DFT了
1.复数结构体
讯享网#include <iostream> using namespace std; struct CP {
CP (double xx=0,double yy=0){
x=xx,y=yy;} double x,y; CP operator + (CP const &B) const {
return CP(x+B.x,y+B.y);} CP operator - (CP const &B) const {
return CP(x-B.x,y-B.y);} CP operator * (CP const &B) const {
return CP(x*B.x-y*B.y,x*B.y+y*B.x);} CP operator / (CP const &B) const {
double t=B.x*B.x+B.y*B.y; return CP((x*B.x+y*B.y)/t, (y*B.x-x*B.y)/t); } }a,b; int main() {
cin>>a.x>>a.y>>b.x>>b.y; CP c; c=a+b; cout<<'('<<c.x<<','<<c.y<<")\n"; c=a-b; cout<<'('<<c.x<<','<<c.y<<")\n"; c=a*b; cout<<'('<<c.x<<','<<c.y<<")\n"; c=a/b; cout<<'('<<c.x<<','<<c.y<<")\n"; return 0; }


代码
#include<cstdio> #include<cmath> #define Maxn //用这句话能得到得到精确的π,可以当做结论来记 const double Pi=acos(-1); using namespace std; struct CP {
CP (double xx=0,double yy=0){
x=xx,y=yy;} double x,y; CP operator + (CP const &B) const {
return CP(x+B.x,y+B.y);} CP operator - (CP const &B) const {
return CP(x-B.x,y-B.y);} CP operator * (CP const &B) const {
return CP(x*B.x-y*B.y,x*B.y+y*B.x);} //除法没用 }w[Maxn]; //w长得是不是很像ω? int n; int main() {
scanf("%d",&n); CP sav(cos(2*Pi/n),sin(2*Pi/n)),buf(1,0); for (int i=0;i<n;i++){
w[i]=buf; buf=buf*sav; } for (int i=0;i<n;i++) printf("w[%d][n]=(%.4lf,%.4lf)\n",i,w[i].x,w[i].y); //由于精度问题会出现-0.0000的情况,将就看吧 return 0; }
递归DFT(简单版本)
讯享网#include <cstdio> #include <cmath> #define Maxn using namespace std; const double Pi=acos(-1); int n,m; struct CP {
CP (double xx=0,double yy=0){
x=xx,y=yy;} double x,y; CP operator + (CP const &B) const {
return CP(x+B.x,y+B.y);} CP operator - (CP const &B) const {
return CP(x-B.x,y-B.y);} CP operator * (CP const &B) const {
return CP(x*B.x-y*B.y,x*B.y+y*B.x);} //除法没用 }f[Maxn<<1],sav[Maxn<<1]; void dft(CP *f,int len) {
if (len==1)return ;//边界 //指针的使用比较巧妙 CP *fl=f,*fr=f+len/2; for (int k=0;k<len;k++)sav[k]=f[k]; for (int k=0;k<len/2;k++)//分奇偶打乱 {
fl[k]=sav[k<<1];fr[k]=sav[k<<1|1];} dft(fl,len/2); dft(fr,len/2);//处理子问题 //由于每次使用的单位根次数不同(len次单位根),所以要重新求。 CP tG(cos(2*Pi/len),sin(2*Pi/len)),buf(1,0); for (int k=0;k<len/2;k++){
//这里buf = (len次单位根的第k个) sav[k]=fl[k]+buf*fr[k];//(1) sav[k+len/2]=fl[k]-buf*fr[k];//(2) //这两条语句具体见Tips的式子 buf=buf*tG;//得到下一个单位根。 }for (int k=0;k<len;k++)f[k]=sav[k]; } int main() {
scanf("%d",&n); for (int i=0;i<n;i++)scanf("%lf",&f[i].x); //一开始都是实数,虚部为0 for(m=1;m<n;m<<=1); //把长度补到2的幂,不必担心高次项的系数,因为默认为0 dft(f,m); for(int i=0;i<m;++i) printf("(%.4f,%.4f)\n",f[i].x,f[i].y); return 0; }
现在问题来了,DFT输出的都是些杂乱的点值表达,所以解决不了问题。
上文说过,IDFT是 D F T DFT DFT的逆(CP),她可以把点值还原成多项式,最终完成乘法。
现在到了讲 I D F T IDFT IDFT的时候了!!!
5.IDFT理论与FFT初步实现



FFT的初步版本
#include<bits/stdc++.h> using namespace std; typedef long long ll; const int N=2.7e6+5,M=2e4+5,inf=0x3f3f3f3f,mod=1e9+7; const double PI=acos(-1); #define mst(a) memset(a,0,sizeof a) #define lx x<<1 #define rx x<<1|1 #define reg register #define PII pair<int,int> #define fi first #define se second #define pb push_back int n,m; struct CP{
//Complex 的加减乘除运算. CP (double xx=0,double yy=0){
x=xx,y=yy;} double x,y; CP operator + (CP const &B) const {
return CP(x+B.x,y+B.y);} CP operator - (CP const &B) const {
return CP(x-B.x,y-B.y);} CP operator * (CP const &B) const {
return CP(x*B.x-y*B.y,x*B.y+y*B.x);} }f[N],p[N],sav[N]; void fft(CP *f,int len,bool flag) //分治解决. {
if (len==1) return;//len==1 是常数直接返回. CP *fl=f,*fr=f+(len>>1);//递归处理fl,fr. for (int k=0;k<len;k++)sav[k]=f[k];//储存起来. for (int k=0;k<len/2;k++) //分奇偶处理. {
fl[k]=sav[k<<1];fr[k]=sav[k<<1|1];} fft(fl,len>>1,flag);//递归解决. fft(fr,len>>1,flag); CP tG(cos(2*PI/len),sin(2*PI/len)),buf(1,0);//W(len,0). if (!flag)tG.y*=-1; for (int k=0;k<len/2;k++){
CP tmp=buf*fr[k]; sav[k]=fl[k]+tmp; //公式. sav[k+len/2]=fl[k]-tmp; buf=buf*tG; }for (int k=0;k<len;k++)f[k]=sav[k]; } int main(){
scanf("%d%d",&n,&m); for (int i=0;i<=n;i++)scanf("%lf",&f[i].x); for (int i=0;i<=m;i++)scanf("%lf",&p[i].x); for(m+=n,n=1;n<=m;n<<=1);//把长度补到2的幂 fft(f,n,1);fft(p,n,1);//DFT for(int i=0;i<n;++i)f[i]=f[i]*p[i]; fft(f,n,0);//FFT for(int i=0;i<=m;++i)printf("%d ",(int)(f[i].x/n+0.49)); return 0; }
蝴蝶操作+位运算优化的递归版。
讯享网#include<bits/stdc++.h> using namespace std; typedef long long ll; const int N=2.7e6+5,M=2e4+5,inf=0x3f3f3f3f,mod=1e9+7; const double PI=acos(-1); #define mst(a) memset(a,0,sizeof a) #define lx x<<1 #define rx x<<1|1 #define reg register #define PII pair<int,int> #define fi first #define se second #define pb push_back int n,m; struct CP{
//Complex 的加减乘除运算. CP (double xx=0,double yy=0){
x=xx,y=yy;} double x,y; CP operator + (CP const &B) const {
return CP(x+B.x,y+B.y);} CP operator - (CP const &B) const {
return CP(x-B.x,y-B.y);} CP operator * (CP const &B) const {
return CP(x*B.x-y*B.y,x*B.y+y*B.x);} }f[N],p[N]; void fft(CP *f,int len,bool flag) //分治解决. {
if (len==1) return;//len==1 是常数直接返回. fft(f,len/2,flag); fft(f+len/2,len/2,flag); CP tG(cos(2*PI/len),sin(2*PI/len)),buf(1,0);//W(len,0). if (!flag)tG.y*=-1; for (int k=0;k<(len>>1);k++){
CP tmp=buf*f[k+(len>>1)]; f[k+(len>>1)]=f[k]-tmp; //公式. f[k]=f[k]+tmp; buf=buf*tG; } } int tr[N]; int main(){
scanf("%d%d",&n,&m); for (reg int i=0;i<=n;i++)scanf("%lf",&f[i].x); for (reg int i=0;i<=m;i++)scanf("%lf",&p[i].x); for(m+=n,n=1;n<=m;n<<=1);//把长度补到2的幂 for(reg int i=0;i<n;i++) tr[i]=(tr[i>>1]>>1)|((i&1)?n>>1:0); //蝴蝶操作. for (reg int i=0;i<n;i++) //预先处理反转序列. if (i<tr[i])swap(f[i],f[tr[i]]);//只交换一次. for (reg int i=0;i<n;i++) if (i<tr[i])swap(p[i],p[tr[i]]);//同上. fft(f,n,1);fft(p,n,1);//DFT for(reg int i=0;i<n;++i)f[i]=f[i]*p[i]; for (int i=0;i<n;i++) if (i<tr[i])swap(f[i],f[tr[i]]); fft(f,n,0);//FFT for(reg int i=0;i<=m;++i)printf("%d ",(int)(f[i].x/n+0.49)); return 0; }
迭代版
#include<cstdio> #include<cmath> #include<algorithm> using namespace std; typedef long long ll; const int N=2.7e6+5,M=2e4+5,inf=0x3f3f3f3f,mod=1e9+7; const double PI=acos(-1); #define mst(a) memset(a,0,sizeof a) #define lx x<<1 #define rx x<<1|1 #define reg register #define PII pair<int,int> #define fi first #define se second #define pb push_back int n,m; struct CP {
CP (double xx=0,double yy=0){
x=xx,y=yy;} double x,y; CP operator + (CP const &B) const {
return CP(x+B.x,y+B.y);} CP operator - (CP const &B) const {
return CP(x-B.x,y-B.y);} CP operator * (CP const &B) const {
return CP(x*B.x-y*B.y,x*B.y+y*B.x);} }f[N],p[N]; int tr[N]; void fft(CP *f,bool flag) {
for (reg int i=0;i<n;i++) if (i<tr[i])swap(f[i],f[tr[i]]); //枚举区间长度 for(reg int p=2;p<=n;p<<=1){
int len=p>>1;//待合并的长度 CP tG(cos(2*PI/p),sin(2*PI/p)); if(!flag)tG.y*=-1;//p次单位根 for(reg int k=0;k<n;k+=p){
//枚举起始点 CP buf(1,0);//遍历一个子问题并合并 for(reg int l=k;l<k+len;l++){
CP tt=buf*f[len+l]; f[len+l]=f[l]-tt; f[l]=f[l]+tt; buf=buf*tG; } } } } int main() {
scanf("%d%d",&n,&m); for (reg int i=0;i<=n;i++)scanf("%lf",&f[i].x); for (reg int i=0;i<=m;i++)scanf("%lf",&p[i].x); for(m+=n,n=1;n<=m;n<<=1); for(reg int i=0;i<n;i++) tr[i]=(tr[i>>1]>>1)|((i&1)?n>>1:0); fft(f,1);fft(p,1);//DFT for(reg int i=0;i<n;++i)f[i]=f[i]*p[i]; fft(f,0); for(reg int i=0;i<=m;++i)printf("%d ",(int)(f[i].x/n+0.49)); return 0; }
6.FFT习题
P1919 【模板】A*B Problem升级版
将每位成多项式的系数
则有: 12345 = 5 × 1 0 0 + 4 × 1 0 1 + 3 × 1 0 2 + 2 × 1 0 3 + 1 × 1 0 4 12345=5\times 10^0+4\times 10^1+3\times 10^2+2\times 10^3+1\times 10^4 12345=5×100+4×101+3×102+2×103+1×104
即: f ( x ) = 12345 f(x)=12345 f(x)=12345为 4 4 4次多项式。
然后乘法就是两个多项式的乘积,上 F F T FFT FFT得到结果,然后按照高精的进位方式并去前导零即可。
时间复杂度: O ( n l o g n ) O(nlogn) O(nlogn)
讯享网#include<bits/stdc++.h> using namespace std; typedef long long ll; typedef unsigned long long ull; const int N=3e6+5,M=2e4+5,inf=0x3f3f3f3f,mod=1e9+7; #define mst(a,b) memset(a,b,sizeof a) #define PII pair<int,int> #define fi first #define se second #define pb emplace_back #define SZ(a) (int)a.size() #define IOS ios::sync_with_stdio(false),cin.tie(0) void Print(int *a,int n){
for(int i=1;i<n;i++) printf("%d ",a[i]); printf("%d\n",a[n]); } #define rgi register int const double PI=acos(-1); struct CP{
CP (double x=0,double y=0):x(x),y(y){
} double x,y; CP operator +(CP const &B)const {
return CP(x+B.x,y+B.y);} CP operator -(CP const &B)const {
return CP(x-B.x,y-B.y);} CP operator *(CP const &B)const {
return CP(x*B.x-y*B.y,x*B.y+y*B.x);} }A[N],B[N]; int tr[N],n,m; void fft(CP *f,bool flag){
for(rgi i=0;i<n;i++) if(i<tr[i]) swap(f[i],f[tr[i]]);//蝴蝶变换 for(rgi p=2,len=1;p<=n;p<<=1,len<<=1){
//枚举区间长度 CP tG(cos(2*PI/p),sin(2*PI/p));if(!flag) tG.y*=-1;//p次单位根 for(rgi k=0;k<n;k+=p){
//枚举起点 CP buf(1,0); for(rgi l=k;l<k+len;l++){
//合并区间 CP tt=buf*f[len+l]; f[len+l]=f[l]-tt; f[l]=f[l]+tt; buf=buf*tG; } } } } inline void init(int &n,int m){
for(n=1;n<=m;n<<=1); for(rgi i=0;i<n;i++) tr[i]=(tr[i>>1]>>1)|((i&1)?n>>1:0); } char a[N],b[N]; int ans[N<<1]; int main() {
scanf("%s%s",a,b); int la=strlen(a),lb=strlen(b); for(int i=la-1;~i;i--) A[la-i-1]=a[i]-'0'; for(int i=lb-1;~i;i--) B[lb-i-1]=b[i]-'0'; m=la+lb; init(n,m); fft(A,1),fft(B,1); for(int i=0;i<=n;i++) A[i]=A[i]*B[i]; fft(A,0); for(int i=0;i<=n;i++){
ans[i]+=(int)(A[i].x/n+0.5); if(ans[i]>=10) ans[i+1]+=ans[i]/10,ans[i]%=10,n+=(i==n); } while(!ans[n]&&n>1) n--; while(~n) printf("%d",ans[n--]); return 0; }
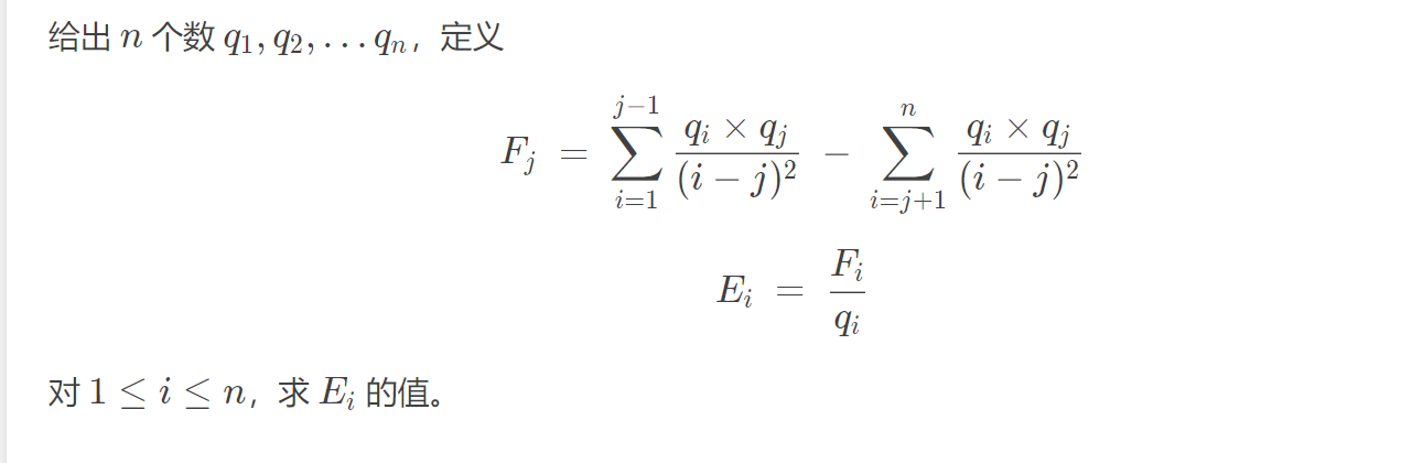
P3338 [ZJOI2014]力

令 g i = 1 i 2 , q 0 = 0 , g 0 = 0 g_i=\dfrac{1}{i^2},q_0=0,g_0=0 gi=i21,q0=0,g0=0
左边 = ∑ i = 1 j − 1 q i × g j − i = ∑ i = 0 j q i × g j − i =\sum\limits_{i=1}^{j-1} q_i\times g_{j-i}=\sum\limits_{i=0}^j q_i\times g_{j-i} =i=1∑j−1qi×gj−i=i=0∑jqi×gj−i
右边 = ∑ i = j n q i × g i − j = ∑ i = 0 n − j q i + j g i = ∑ i = 0 n − j q i + j g i =\sum\limits_{i=j}^n q_i\times g_{i-j}=\sum\limits_{i=0}^{n-j}q_{i+j}g_i=\sum\limits_{i=0}^{n-j}q_{i+j}g_i =i=j∑nqi×gi−j=i=0∑n−jqi+jgi=i=0∑n−jqi+jgi
令 q i = f n − i q_i=f_{n-i} qi=fn−i
右边 = ∑ i = 0 n − j f n − j − i g i = ∑ i = 0 t f t − i g i =\sum\limits_{i=0}^{n-j}f_{n-j-i}g_i=\sum\limits_{i=0}^t f_{t-i}g_i =i=0∑n−jfn−j−igi=i=0∑tft−igi
这样就都化成了卷积的形式。
然后就可以上FFT了。
// Problem: P3338 [ZJOI2014]力 // Contest: Luogu // URL: https://www.luogu.com.cn/problem/P3338 // Memory Limit: 125 MB // Time Limit: 3000 ms // Date: 2021-07-30 14:55:52 // --------by Herio-------- #include<bits/stdc++.h> using namespace std; typedef long long ll; typedef unsigned long long ull; const int N=3e5+5,M=2e4+5,inf=0x3f3f3f3f,mod=1e9+7; #define mst(a,b) memset(a,b,sizeof a) #define PII pair<int,int> #define fi first #define se second #define pb emplace_back #define SZ(a) (int)a.size() #define IOS ios::sync_with_stdio(false),cin.tie(0) void Print(int *a,int n){
for(int i=1;i<n;i++) printf("%d ",a[i]); printf("%d\n",a[n]); } #define rgi register int const double PI=acos(-1); struct CP{
CP (double x=0,double y=0):x(x),y(y){
} double x,y; CP operator +(CP const &B)const {
return CP(x+B.x,y+B.y);} CP operator -(CP const &B)const {
return CP(x-B.x,y-B.y);} CP operator *(CP const &B)const {
return CP(x*B.x-y*B.y,x*B.y+y*B.x);} }A[N],B[N],C[N]; int tr[N],n,m,li; void fft(CP *f,bool flag){
//flag=1 DFT flag=0 IDFT for(rgi i=0;i<li;i++) if(i<tr[i]) swap(f[i],f[tr[i]]);//蝴蝶变换 for(rgi p=2,len=1;p<=li;p<<=1,len<<=1){
//枚举区间长度 CP tG(cos(2*PI/p),sin(2*PI/p));if(!flag) tG.y*=-1;//p次单位根 for(rgi k=0;k<li;k+=p){
//枚举起点 CP buf(1,0); for(rgi l=k;l<k+len;l++){
//合并区间 CP tt=buf*f[len+l]; f[len+l]=f[l]-tt; f[l]=f[l]+tt; buf=buf*tG; } } } if(!flag) for(rgi i=0;i<li;i++) f[i].x/=li; } inline void init(int &li,int m){
for(li=1;li<=m;li<<=1); for(rgi i=0;i<li;i++) tr[i]=(tr[i>>1]>>1)|((i&1)?li>>1:0); } int main(){
scanf("%d",&n); for(rgi i=1;i<=n;i++){
scanf("%lf",&A[i].x); C[n-i].x=A[i].x; B[i].x=(double)(1.0/i/i); } init(li,n<<1); fft(A,1),fft(B,1),fft(C,1); for(int i=0;i<li;i++) A[i]=A[i]*B[i],C[i]=C[i]*B[i]; fft(A,0),fft(C,0); for(rgi i=1;i<=n;i++) printf("%.3f\n",A[i].x-C[n-i].x); return 0; }
参考文章
传送门

版权声明:本文内容由互联网用户自发贡献,该文观点仅代表作者本人。本站仅提供信息存储空间服务,不拥有所有权,不承担相关法律责任。如发现本站有涉嫌侵权/违法违规的内容,请联系我们,一经查实,本站将立刻删除。
如需转载请保留出处:https://51itzy.com/kjqy/11395.html